[拼音]:dianzilun
[外文]:theory of electrons
指19世纪末到20世纪初提出来的将宏观媒质的电磁和光学效应归于其中所含带电粒子的作用的一种理论。它的提出不仅是电磁理论的一个重要进展,而且构成狭义相对论和物性微观理论发展中的一个重要环节。关于宏观媒质的电磁和光学性质的理论现已在原子的核模型和量子力学、量子统计的基础上发展成许多门有关的学科,如原子和分子物理学、固体物理学中的有关部分,以及更加专门的半导体物理学、磁学、电介质物理学和超导电物理学等。
早期的发展有W.E.韦伯、B.黎曼和R.克劳修斯等所提出的理论。虽然这些早期的理论未获得预期的结果,但当时许多物理学家们仍倾向于认为电和磁的现象是由于单个带电粒子的存在和它们的运动,因为气体和电解液的导电性质提供了电荷“颗粒性”的证据。
到了19世纪90年代,H.A.洛伦兹在J.C.麦克斯韦理论的基础上发展了电子论,才开始取得成功。在洛伦兹进行电子论研究的年代(1892年到20世纪初),人们对阴极射线的性质已经作了不少的研究,对它的本质(电子束)的认识也是在这一时期完成的(电子的荷质比e/m于1897年由J.J.汤姆孙测定)。
洛伦兹理论与早先理论的主要差别在于,它将电磁扰动以有限速度传播的概念引入带电粒子之间的相互作用中。在当时,电磁扰动被认为是通过以太传播的,洛伦兹对以太的性质也提出了他的假定。在他看来,宏观媒质既然可归结为悬浮在真空中的带电粒子,媒质中的以太应该在密度和弹性方面都与真空中的一样,无任何特别之处。当媒质运动时,也不应带动其中的以太运动。这样,微观的电动力学方程就变得简单明确,而宏观媒质的电动力学方程可以从这些简单的微观方程导出。
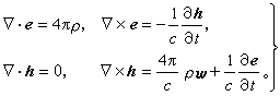
下面用e和h表示微观的电场和磁场强度, ω表示微观电荷相对以太的运动速度,ρ 为微观电荷密度。微观的麦克斯韦方程组(单位用高斯制)为
(1)
作为洛伦兹理论基础的,除了式(1)以外,还有带电粒子的运动方程(即牛顿方程),其中带电粒子在电磁场中所受的力由下述力密度公式表示
。 (2)
此式与O.亥维赛1889年提出的公式相同。
在宏观的电动力学中,可以将场强和电荷电流密度看作是在宏观尺度上变化的连续函数,而不去分辨那种与原子结构相联系的在微观尺度上的涨落。这种微观的涨落可以通过在特定范围的空间平均来消除。这个空间的范围从宏观看来应当很微小,但从微观看来却又应大得能容纳大量的原子或分子。
将式(1)对上述空间范围作平均处理后,得出
(3)
按照上面所述的观点,宏观的电荷密度ρ就等于圶,宏观的电流密度J 就等于
,宏观的电场强度E 就等于
。但从式(3)的第二、三式可以看出
不等于宏观的H 而应等于B。这即是B 为基本场量而不是H 的原因。于是式(3)化为宏观的麦克斯韦方程组
(4)
对于静止的媒质,还可以得出
, (5)
其中P代表媒质的极化强度,M代表磁化强度,Jf代表传导电流密度,ρf代表自由电荷密度。这样,如令D=E+4πP,H=B-4πM, 即可化出常见的宏观媒质中麦克斯韦方程组的形式。
电子论还对媒质的色散(折射率n 随频率变化)和吸收提出了解释。
洛伦兹电子论的一个重要成果是推出了运动媒质中光的传播速度。
当媒质运动时,带电粒子的速度可表为v+u,其中v代表媒质相对以太的速度,而u为带电粒子相对媒质的速度。对于非磁性的透明媒质
(6)
这样
。 (7)
与媒质静止时相比,多出一项
。此项称为介电运流电流。ρ的结果不变,对于不带自由电荷的透明媒质
。 (8)
另外,媒质运动时,P与场强的关系需要作下列修改,即原来公式中的E 应当用
来代替,于是
, (9)
ⅹ为媒质的极化率。当媒质是非磁性物质时,ⅹ与折射率n有下述关系
。 (10)
在媒质均匀、其运动也均匀(即折射率n和速度v皆与坐标无关)的情况,从以上结果可得(准确到v/с的一次方项)
(11)
由此求出,在以太参照系中平面电磁波的速度为(准确到v/с的一次方)
, (12)
其中θ 为v与波传播方向间的夹角。此式早在1818年就为A.-J.菲涅耳所推出,称为菲涅耳运动媒质光速公式并曾为A.H.L.斐索的实验所证实。但是菲涅耳的出发点是与洛伦兹不同的。在菲涅耳时代,光的电磁理论尚未建立,光波被认为是以太的弹性波,它的速度只与以太的状态有关。媒质对光波速度的影响是通过其中以太状态的不同来实现的。菲涅耳假定,媒质中以太的弹性与真空中的一样,但密度d改变了,d与媒质的折射率二次方成正比(d=don2)。他并假定,当媒质相对以太参照系运动时,它只带动其内部超过真空的那一部分以太运动,该部分的密度为 d-do=(n2-1)do,于是媒质内部以太的平均速度即为
。若引入一个参照系S以速度
v相对以太参照系运动,则媒质内部的以太相对S的平均速度为零,于是在S系中可认为光速就等于
。变换到以太参照系并只保留
一次方的修正项时即得出式(12)。
由此可见,洛伦兹理论中的束缚带电粒子起着菲涅耳理论中多余以太的作用。它们在各自的理论中都代表媒质与真空间的差异,并都是随着媒质一起运动。但菲涅耳理论所存在的困难──不同频率的光需要有不同的以太,因为频率不同时n不同,从而以太曳引速度
不同,现已不再提了。
电子论的另一方面内容是解释金属的各方面性质,如光学,热电效应、霍耳效应、导热率与电导率的关系等。在这方面作出主要贡献的有E.李开、P.K.L.德鲁德、J.J.汤姆孙和洛伦兹等人。
金属电子论提出了金属电结构的明确图像:在金属中,负电荷就是在阴极射线中发现的电子,它可以在原子间自由运动,而正电荷则固定在金属原子上。金属的导电完全是由于电子的运动。金属电子论并将气体动力论的方法应用到这些自由电子上以计算金属上述方面的性质。其中最重要的结果是导出了实验上发现的维德曼-夫兰兹定律和洛伦兹关系,即在同一温度下热导率与电导率的比值对所有的金属相同,而温度变化时上述比值与绝对温度成正比。
此理论所遇到的主要困难之一是,自由电子对金属比热容的贡献的理论值太大。这一问题直到1928年A.索末菲应用费密-狄喇克统计(量子统计法的一种)才得到解决。按照费密统计,只是那些在费密能级(见费密面)ζ附近的电子才可能被热激发。激发的电子数近似等于
,k为玻耳兹曼常数,T为绝对温度,N为自由电子总数,而平均的激发能量近似等于kT。这样自由电子对比热容的贡献近似等于
。由于
,因此从量子统计计算出的值比原来的理论值
Nk大为减小。此外,索末菲理论在热电效应的解释上也有改进。
将电子论应用到磁性方面的有韦伯、W.佛克脱和J.J.汤姆孙等人的工作。但首先获得了成功结果的是1905年P.朗之万的理论。他采用了韦伯的观点,认为抗磁性是所有物质所共有的,而顺磁性和铁磁性只是分子(或原子)具有固有磁矩的物质才有。对于顺磁和铁磁介质,它的抗磁性效应比顺磁和铁磁效应小得多而被掩盖。
朗之万用原子内部作轨道运动的电子在外磁场下的拉莫尔进动来解释抗磁性。由于原子内部电子的运动不易受温度影响,因而抗磁性很少随温度变化(金属铋除外,对此朗之万像J.J.汤姆孙一样把它归之于自由电子的效应)。他还用经典统计法计算了顺磁介质的磁化强度随温度的变化关系。当分子磁矩的取向能与热运动能相比小得多时,可得出磁化率与绝对温度成反比,与实验上的居里定律相一致。
1907年P.-E.外斯将朗之万理论加以推广以解释铁磁性。朗之万和外斯理论虽然获得了成功的结果,但从理论角度上来看是存在问题的。只有将经典力学换成量子力学,其中的困难才能得到克服。
1911年E.卢瑟福在α粒子散射实验的基础上,提出了原子的核模型(原子中心有一带正电的核,周围有若干电子围绕着核运动),1913年N.玻尔对原子中的电子轨道引入了量子化条件以解释氢原子的光谱谱系。1925~1926年,W.K.海森伯和E.薛定谔等人发展了描述微观粒子运动规律的系统理论──量子力学。这些成就使人们对微观世界的认识达到一个新的阶段。物性的微观理论也得到迅速的发展,并逐步形成了许多专门的学科。
