[拼音]:tingliu shijian fenbu
[外文]:residence time distribution
流体质点通过装置时,其停留时间长短的分布情况。有些质点迅速流出,有些质点则可能在装置内滞留较长时间。流体在反应器内滞留将会严重影响反应的最终结果。
描述流体停留时间分布的函数包括停留时间分布密度函数、累计停留时间分布函数、年龄分布函数。
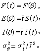
(1)停留时间分布密度函数(或称停留时间分布函数)记为E(t),因而又称E(t)函数。对一稳定流动系统,在某一瞬间进入(或流出)装置的物料量Q中,停留时间在t和t+dt之间的物料量dQ所占的分率dQ/Q定义为E(t)dt。图1之a即为一般的E曲线的示意。根据E(t)的定义,停留时间在各个不同时间间隔内的物料所占分率的总和为1,即E(t)满足下面的归一化条件:
。
(2)累积停留时间分布函数 记为F(t),因而又称为F(t)函数。指流过系统的物料中,停留时间小于t(即停留时间介于0~t之间)的物料所占的分率。即
或
(3)年龄分布函数 记为I(t)。指器内物料中停留时间(年龄)在t和t+dt之间物料所占的分率,显然,也具有归一化性质,即
。
一般最常用的是E函数和F函数。
描述停留时间分布的主要特征量包括数学期望和方差:
(1)数学期望掶 E曲线对原点的一次矩,亦即分布的重心。在几何图形上是E曲线所包面积的重心在横轴上的投影。
。
掶也等于一般的平均停留时间峔,而
峔=V/v,
其中V为容器的有效容积;v为物料的容积流速。
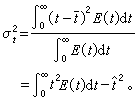
(2)方差σ
E曲线对平均停留时间的二次矩,即
方差的大小反映出分散的程度。对完全无返混的平推流(见流动模式),σ
=0;而对完全返混的全混流,则
σ
=峔2。
如果E(t)为离散值,则掶和σ
的表示式为:
前述分布函数也可用无因次对比时间θ呏t/峔=tv/V来表示,其关系式如下:
而无因次平均停留时间嬱=峔/峔=1。对于平推流,σ婂=0;对全混流σ婂=1;对其他流动模式0≤σ婂≤1。
停留时间分布的实验测定通常使用示踪法,即向一稳定流动的系统中输入示踪剂,在出口处检测流出物料中示踪剂含量的变化,从而定出物料的停留时间分布。所用示踪剂应不起化学变化,不会被器壁或器内填充物所吸附并易于检测,如电解质、染料等。输入示踪剂要不影响装置内原来的流动状况。示踪剂的输入方式有脉冲式、阶跃式和周期交变式,对应于前两种方式的方法较为常用,分述如下:
(1)脉冲法 如图2所示,在t=0瞬间,向流量为v的流入物料中脉冲地注入示踪剂A(其量为Μ),同时记录流出物料中A的摩尔分子浓度CA随时间t的变化,绘出CA-t曲线,曲线所围的面积为:
。
若以C0表示Μ/v,并按E(t)定义:
E(t)dt=vCAdt/Μ,
则
E(t)=CA/C0。
(2)阶跃法 包括阶升法和阶降法。在t=0的瞬间,将原来不含示踪剂的流体改换为含示踪剂 A(摩尔分子浓度为CA0)的流体,且保持流量v和流动状况不变,并检测出口流体中示踪剂的摩尔分子浓度CA的变化,此法称为阶升法(图3);若将两流体的顺序调换,测定出口流体中残余的A的含量变化,则称为阶降法,或残余浓度法。根据物料衡算,有:
,
故
F(t)=CA/CA0。
按此作出F(t)-t的曲线后,由曲线各点的斜率便可作出E(t)-t的曲线。对于全混流,导得的E(t)函数为:
或 E(θ)=e-θ。对于平推流,导得的E(t)函数为:
故平推流的E(t)具有狄喇克δ函数的性质。图4中示出理想流动和非理想流动(见流动模式)的几种曲线的大致形状。
根据实测的停留时间分布,选用适当的流动模型,便可定量地表达出流体在装置中的流动和混合情况。
