[拼音]:feiji jiegou lixue
[外文]:structural mechanics of aircraft
研究飞机结构在载荷和环境作用下的应力、变形、稳定性及其合理性的学科,又称飞机结构理论,有时也称为飞机强度学。飞机结构力学是固体力学理论应用于飞机结构的一个分支学科,是飞机结构设计的重要理论基础。
飞机结构力学的基本原理同样适用于其他飞行器,它的基础学科是静力学、桥梁力学、结构稳定性理论、板壳力学、计算力学等。但是各类飞行器,尤其是航天器和火箭,也有各自特殊的结构问题(见火箭结构分析、航天器结构分析)。
经典的飞机结构力学可按结构型式分为杆系结构力学和薄壁结构力学。
杆系结构力学
在杆系结构中,飞机结构力学与一般结构(如桥梁、建筑等)力学基本一致,讨论静定和静不定两种结构。解决问题的手段不外满足静力平衡条件和变形协调条件;解静不定结构问题又可用最小能量法,以使问题简化。在杆系结构力学中早期提出的课题有梁柱、扭转、稳定性等问题。
梁柱同时受弯和受压的杆件。这种杆件在侧向力作用下产生弯曲挠度,侧向挠度使轴向压力产生附加弯矩,这又使侧向弯曲增大,因此必须考虑侧向力与轴向压力的联合作用,求出真实弯矩,供设计使用。
扭转早期梁式机翼以翼梁为主承受扭矩,翼梁具有非圆形的实心断面,扭转刚度往往不够,成为突出问题。实心断面梁轴受扭时的应力和变形,多采用弹性力学中薄膜模拟试验的结果,比用材料力学计算的结果精确。
稳定性杆系结构稳定性问题主要是直柱的屈曲,包括弹性支承、弯扭失稳等较复杂的问题。
薄壁结构力学
在薄壁结构中,杆主要受轴向力,板主要受剪力,基本的问题有扭转、剪滞、屈曲、有效宽度、张力场和压力舱等。
扭转闭口断面的薄壁结构具有较大的扭转刚度,在飞机结构中得到广泛应用。单闭室断面的薄壁结构或薄壁管在受扭矩时的剪应力τ和单位长度相对扭转角θ分别为:
式中T为扭矩,A为薄壁中线所包的面积,t为管壁厚度,G为材料剪切模量,S为薄壁中线的周长。
剪滞薄壁结构的剪切变形较大,工程梁理论中平断面假设往往不再正确。随机翼断面向翼根移动,盒形梁中部桁条的正应力的增加较翼梁处缘条的正应力的增加在位置上要滞后一些。
屈曲薄壁结构中有许多形式的屈曲。除简单受拉的情况没有屈曲问题外,薄板在板中面内受压、受剪,薄壁梁受弯、受扭,薄壁壳体受外压等都会发生屈曲现象。圆筒受轴向压力时抵抗屈曲的能力比平板要高得多,经典理论的结果是在假设圆筒具有理想几何形状下得到的,实际上由于初始缺陷和边缘条件的影响,试验值比理论值要低得多。
有效宽度平板在屈曲后还能继续承担轴压。靠近桁条或缘条的那部分薄板,由于支承的限制,不能自由地凹凸,因而能有效地承受轴压,而离两侧支承较远的薄板,可以自由凹凸,几乎不能承担轴压。一般认为在有效宽度以内的薄板,将随同它附着的桁条共同承受轴压,直至所组合成的直柱再一次达到它的临界载荷,结构才最后毁坏。有效宽度以外的薄板则可认为不再受力。有效宽度的经验公式为:
式中E为材料的弹性模量,σ为轴向压力。对于常用的铝合金可取 be≈(30~40)t。也就是说薄壁在失稳时并未毁坏,只是应力分布改变了,整个结构仍在继续支承载荷,直到整体毁坏为止。
张力场梁梁的腹板在受剪失稳后仍能继续承载,这时,受力方式改变成沿波纹的峰与谷方向的斜向张力,而薄板梁就变成桁架式结构,称为张力场梁。
在张力场梁中,上下缘条既作为桁架的一部分承受水平拉压,又作为连续梁承受腹板给它的向心张力。腹板张力的极限值为材料的屈服强度。
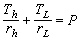
压力舱
压力舱承受内外压差P时产生的纵向和周向的薄膜应力TL和Th都可根据法向平衡条件求得:
式中rh和rL分别为舱体沿周向和纵向的主曲率半径。
座舱有窗孔或门孔时,通常加强孔周,尽量使远离孔边的膜应力不发生变化,也就是使孔边沿的加强件恰能代替孔所挖去的部分,这种孔称为中性孔。对孔边沿作过多的加强,并不一定有利,何况,中性孔也不是唯一的设计措施。
发展趋势
随着飞机结构型式的变化和应用电子计算机技术的现代计算力学的发展,飞机结构力学的内容在不断地发展和更新,有限元素法在飞机和其他飞行器结构分析中得到广泛应用,为复杂结构分析提供了一种快速而又精确的手段,许多过去在结构力学中认为难以解决的高度静不定问题已能迎刃而解。初期的飞机结构力学以静力学为主,飞机事故分析向结构力学提出过一系列课题,如气动弹性、疲劳与断裂、热强度等问题。这些原来属于飞机结构力学范围内的课题,逐步发展形成了独立的分支学科。此外,还出现了最优化方法、复合材料力学、统计结构力学等一些新的分支。
- 参考书目
- D.Williams, An Introduction to the Theory ofAircraft Structures,Edw.Arnold,London,1960.
- D.J.Peery and J.J.Azar,Aircraft Structures,2nd ed.,McGraw-Hill,New York,1982.
