[拼音]:juere liudong
[外文]:adiabatic flow
对整个流体介质而言,没有热量进出,而且流体内各部分之间没有热传导的流动。热量的进出可借助于流体与周围介质的热传导作用,也可以借助于各种热源来实现。介质的热辐射,介质放电(电能转化为热),介质的化学反应(化学能转化为热)等,都可以看成是某种热源。作绝热流动的流体不存在上述现象。
由于有粘性作用或有激波出现,流体介质会有机械能损耗,转变为热。这种现象虽也能使整个流体介质的热量增加,但这种热量不是自流体外部进入的,绝热流动可以允许这种现象存在。对没有这种机械能损耗的绝热流动,通常称为可逆绝热流动。
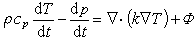
严格的绝热流动不允许有任何热传导现象存在。尽管实际的流体介质在温度不均匀分布时总会或多或少要传热,只要热传导现象的影响不大,就可以忽略,把流体的流动看成是绝热的。于是绝热流动研究就具有实际意义。声波和边界层外的气体动力学问题常被看作是绝热流动。如空气中声波的运动,联系温度和热量变化的能量方程为:
,
式中ρ为密度;T为热力学温度;p为压力;t为时间;k为热导率;
为定压比热;ф为粘性耗损项。若空气中的声波波长为λ,声速为c,在上述能量方程中,惯性项
的主要项是
,其数量级大小为
,而热传导项墷·(k墷T)的数量级为
,惯性项与热传导项的量级之比为
,用普朗特数Pr表示
,则这两者之比为
,其中μ为动力粘性系数。对空气而言,Pr≈0.71,c=340米/秒,
=1.57×10-5米2/秒。人耳可闻的声波波长一般在10-2~20米的范围,若取λ为10-2米,则这个比值约为1.5×105。因此,热传导项的作用可以完全忽略不计,从而可以认为声波运动是绝热流动。
- 参考书目
