[拼音]:pituoguan
[外文]:Pitot tube
测量气流总压(见压力)的一种装置,是18世纪法国工程师H.皮托发明的,故名。用实验方法直接测量气流的速度比较困难,但气流的压力则可以用测压计方便地测出。因此,可用皮托管测量压力,再应用伯努利定理算出气流的速度。皮托管由一个圆头的双层套管组成(见图),
外套管直径为D,在圆头中心O处开一与内套管相连的总压孔,联接测压计的一头,孔的直径为0.3~0.6D。在外套管侧表面距O约3~8D的C处沿周向均匀地开一排与外管壁垂直的静压孔,联接测压计另一头。将皮托管安放在欲测速度的定常气流中,使管轴与气流的方向一致,管子前缘对着来流。当气流接近O点处,其流速逐渐减低,流至O点滞止为零。所以O点测出的是总压p0。其次,由于管子很细,C点距O点充分远,因此C 点处的速度和压力已经基本上恢复到同来流速度V∞和压力p∞相等的数值,因而在C点测出的是静压。
对于低速流动(流体可近似地认为是不可压缩的),由伯努利定理得确定流速的公式为:
。 (1)
根据测压计测出的总压和静压差p0-p∞,以及流体的密度ρ,可以按照式(1)求出气流的速度。
对于亚声速流动以下关系式成立:
, (2)
(3)
式中
∞、c∞、T∞分别为来流的马赫数、声速和温度;γ为比热比;R为气体常数。通过测压计测出总压p0和静压p∞,利用测温仪器测出来流的温度T∞,于是流速V∞即可根据式(2)和式(3)求出。
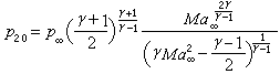
对于超声速流动,在皮托管头部会产生离体激波(见激波),故以下关系成立:
, (4)
式中
是激波后驻点处的总压。进一步可求出流速V∞。
在高亚声速流动和超声速流动情形中,由于存在着多种干扰因素,利用静压孔测静压并不准确。这时常常改用其他方法测量静压。
由于测压孔有一定面积,也由于支杆干扰和制作上等原因,测压计测得的压差不会正好是p0-p∞,因此通常在式(1)的根号内乘上一个很接近于1的修正系数ξ(在0.98~1.05之间)。ξ值通过同标准皮托管作校正能求得。对于某些特殊类型的流动,如粘性起主要作用的低雷诺数流动和稀薄气体流动,必须对常规皮托管的计算公式进行适当的修正,才能精确计算流速。
