[拼音]:zhixianfa
[外文]:method of lines
计算力学中常用的一种解偏微分方程的数值方法。其要点是:先将求解区域用一族直线分割为若干条带,然后保留偏微分方程中沿直线方向的连续偏导数,其他方向的偏导数则用差商或内插公式代替,从而将偏微分方程的求解问题简化为沿一族直线的常微分方程组的初边值问题。由于常微分方程组的理论或数值解法都比较成熟,问题也就容易解决。
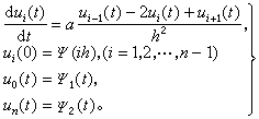
在弹性力学的数值方法中,直线法也称有限条带法。现以简单一维热传导方程为例,说明用直线法求解的要点。考虑如下的初边值问题:
(1)
式中x为坐标,t为时间,a>0,为一常数;Ψ、Ψ1、Ψ2为满足初边值条件的函数。
用直线
将区间[0,1]分割成n个条带(见图),未知解在直线x=xi上的值记为ui(t)=u(xi,t)。于是在直线x=xi上它满足方程
。 (2)
如用二阶差商代替式(2)右端的偏导数
,上述问题就变成下列近似常微分方程组的初边值问题:
(3)
方程组(3) 可用常微分方程的数值解法求得一组近似解ui(t)(i=1,2,…,n-1),它代表问题(1)的解u(x,t)在直线x=xi上的近似值。再用内插法,就能得到整个区间[0,1]上的近似解。除用差商代替空间导数外,也可用插值公式来逼近。1963年,Г.Φ.捷列宁就是利用这种方法计算钝头体绕流的。他不采用差商代替微商,而改用高次内插多项式逼近微商,并把混合型方程的边值问题化为常微分方程组的两点边值问题。这种方法后来被称为捷列宁方法,由于在定解区域内解的解析性质较好,此法只用三、四个条带,就能达到高阶精度。直线法的另一个主要发展是1951年A.A.多罗德尼岑提出的积分关系法,它被用于求解空气动力学问题。该法是从守恒型偏微分方程出发,先按某一变量求积,获得一组积分关系式,再用适当的内插公式代替积分关系式中的被积函数,最后导出近似常微分方程组。由于积分后的函数比被积函数更光滑,当被积函数有第一类间断点时,积分仍能给出连续的表达式。因此,当流场中出现间断面时,积分关系法仍能保持物理量的守恒关系,而普通直线法则不能做到这一点。此法曾被用来求解钝头旋转体高速飞行时的绕流问题并获得了成功。为使积分关系法也能适用于边界层的计算,1960年多罗德尼岑还提出广义积分关系法。该法用逐段连续的“权函数”去乘原始方程组中的每一个方程并进行积分。对梯度变化较大的被积函数,可选择适当的权函数加以“平滑”。这样,就能以低级近似来获得高精度的数值解。
直线法和积分关系法都具有结构简单、机器存储量小和运算时间省的优点。缺点是,当近似常微分方程组阶数很高或出现奇点时,常会出现计算不稳定问题。
直线法和积分关系法既可用于求解线性的,也可求解非线性的抛物型、双曲型、椭圆型和混合型偏微分方程,甚至还可用于求解微分-积分方程。因此,它们在弹性力学、流体力学、物理-化学流体动力学和数学物理的其他问题中都有广泛的应用。
