[拼音]:duopule zhikuan
[外文]:Doppler broadening
由原子或原子集团运动的多普勒效应引起的谱线致宽。1842年奥地利物理学家多普勒发现,波源和观测者的相对运动会使观测到的波的频率发生变化,这种现象称为多普勒效应。发射(或吸收)光的原子具有不规则的热运动,其中某些原子向着观测者运动,而另一些原子背离观测者运动,速度大小也各不同。在这种情况下,原子发射(或吸收)的频率有些紫移,有些红移,移动量也各不相同。总的效果是使原子发射(或吸收)的谱线致宽。在视线方向速度为v的原子辐射频率的变化Δv称为多普勒位移,
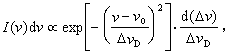
,式中v0、λ0为谱线中心频率和波长,c为光速,Δv 和Δλ为以频率和波长标度表示的多普勒位移。在热动平衡状态下辐射原子的速度分布服从麦克斯韦分布,而辐射按频率的分布由下式确定:
式中
为多普勒宽度,ζD为原子热运动的最或然速度。
式中μ为原子质量,R为气体常数,T为绝对温度。在这种情况下,由多普勒致宽可以推算出发光物质的温度。通常,在谱线的中心部分主要由多普勒效应致宽,在线翼部分主要由阻尼效应致宽(见碰撞阻尼、辐射阻尼)。由恒星大气湍动引起的谱线致宽也属多普勒致宽(见湍动致宽)。但在这种情况下,由多普勒致宽也可以推算发光物质的温度。
