[拼音]:linjia
[外文]:forest value
一般指人工培育的立木价值的货币表现,即立木(林地上生活着而尚未伐倒的树木)的价格。以培育立木(包括采种、育苗、造林、抚育管理到立木成熟)过程中,凝结在活立木实体中的社会必要劳动量为基础形成。
在资本主义国家,营林者多将立木加工成木材销售,因此林价通常根据木材的市场价格倒算,即木材市场价格扣除采运费用、利润和税金以后的部分。美国在第二次世界大战前,林价在木材价格中只占25%,1950~1976年总平均已占50%以上,个别年份甚至高达85%以上。瑞典、芬兰、日本等林业发达国家近年来林价占木材价格中60~80%。
林价的计算公式有多种。如十月革命前的沙皇俄国,曾用市场价格作为确定林价的标准。从1896年开始,官方林业所指定的计算公式是:
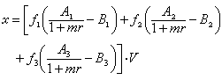
式中t为每立方米一定种类木材的林价;υ为每立方米一定种类木材的市场价格;e为森林采集费;d为运输费用;p为营林者的利润率;1.0为林木利润总额。在苏联,1947年林价委员会采用了不分级差收入的每立方米木材平均林价,即以林木全部价值(林业经费加积累)除以总的采伐量求得的单价。在日本,20世纪50年代林野厅、地方自治团体、森林合作组合等单位,为采伐利用而计算单位面积立木价格时,大致有下列各种计算方式:
或
或
上面第一、二式为非官方常用公式,通用于计算各类立木价格。第三式为官方规定的公式,并载入《保安林整备临时措施法施行令》(1954)。方括弧内第一项用于计算用材林林价,第二、三项分别用于计算炭材和薪材林林价。式中x 为单位面积材价;V为立木材积;f为利用率=
;A为市场价单价;B为单位材积费用;m为资金回收期;r为企业利润率;p为每个月的利率。
在中国,国有天然林实行立木的无偿调拨,没有林价。调入木材单位按国家规定,仅按木材调拨数量向国家指定的单位交付少量的育林费,作为营林企业再生产费用。集体所有林,在实行国家派购制度时,林价由国家规定。国有人工林林价也由国家规定。由于历史的原因,规定的林价长期偏低,80年代初大约占木材价格的20%。1985年国家取消对集体所有林的木材派购,林价由市场来调节,它在木材价格中的比重上升。
中国林业经济学界普遍认为,为了保证国有天然林的恢复,需要确定合理的林价,实行有偿调拨。合理的林价可由林价制度来保证。林价制度的内容包括:
(1)林价区。即根据各林区森林资源的状况,森林在当地的地位和作用,分别划分为若干林价区,国家对不同的林价区确定不同的林价水平。
(2)林价等级。根据伐区到铁路装运点、流送码头的距离,划分若干林价等级和等级差价。
(3)树种差价。根据各地区林木生长情况、树种、径级等,确定林木的差价。实行林价制度,有利于自觉运用价值规律,发挥价格的调节作用,使培育森林的劳动耗费得到补偿,并获得合理的赢利,以发挥营林者的积极性,提高森林集约经营的水平。
在中国,计算国有林林价,一般主张采用以下公式:
式中t为每立方米立木的价格;V为每立方米立木的成本;P/K为营林者的利润率;d为立木成材年限;R为级差地租。上述计算公式有理论意义,但按公式计算的林价为固定值,按照商品经济原则,林价和木材价格都要围绕价值在市场供求关系作用下上下波动。
中国在实践上也采取林价占木材价格的比例来确定。1986年10月,国务院在《关于研究解决国有林区森林工业问题的会议纪要》中规定,从1987年1月1日起,东北、内蒙古国有林区森工采运企业提取林价的标准,按木材销售收入的21%提取。
