[拼音]:gonglüpu midu guji
[外文]:power spectrum density estimation
随机信号的功率谱密度用来描述信号的能量特征随频率的变化关系。功率谱密度简称为功率谱,是自相关函数的傅里叶变换。对功率谱密度的估计又称功率谱估计。平稳随机信号x(t)的(自)功率谱Sxx(ω)定义为
(1)
式中rxx(τ)为平稳随机信号的自相关函数。
对于离散情况,功率谱表示为
(2)
式中T为离散随机信号的抽样间隔时间。
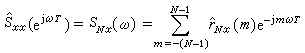
当利用随机信号的 N个抽样值来计算其自相关估值时,即可得到功率谱估计为
(3)
可见,随机信号的功率谱与自相关函数互为傅里叶变换的关系,这两个函数分别从频率域和时间域来表征随机信号的基本特征。按上式计算功率谱估值,其运算量往往很大,通常采用快速傅里叶变换算法,以减少运算次数。
计算信号功率谱的方法可以分为两类:一为线性估计方法,有自相关估计、自协方差法及周期图法等。另一类为非线性估计方法,有最大似然法、最大熵法等。线性估计方法是有偏的谱估计方法,谱分辨率随数据长度的增加而提高。非线性估计方法大多是无偏的谱估计方法,可以获得高的谱分辨率。
