[拼音]:zixiangguan guji
[外文]:estimation of autocorrelation
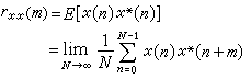
随机信号x(n)的相关函数是在时间域内描述随机过程的重要特征。自相关函数是随机信号在不同时刻的值之间的依赖性的量度,是一个很有用的统计平均量,其定义为自相关函数
(1)
式中E[·]表示数学期望,*表示共轭值,m为时间滞后数。
在随机信号处理中,自相关函数可以用来检测淹没在随机噪声干扰中的信号,随机信号的自功率谱等于它的自相关函数的傅里叶变换。因此,通过自相关估计可求得信号的功率谱。
利用计算机计算自相关估值有两种方法。一种是直接方法,先计算出随机信号和它的滞后序列的乘积,再取其平均值即得相关函数的估计值。另一种是间接方法,先用快速变换算法计算随机序列的功率谱密度,再作反变换计算出相关函数。
直接算法
设离散随机信号序列x(n)是平稳的,其长度为N,自相关函数的估值记作惲Nx(m),定义为
(2)
式中K为滞后数的最大值。由于估计值的均值E[惲Nx(m)]不等于自相关函数的真值 rxx(m),因而它是自相关函数的有偏估计。如果把 惲Nx(m)式中的比例系数
改成
,即令
(3)
它的均值
,因而是无偏的估计。显然,设m为有限值,当N→∞,则从式(2)可以得到渐近无偏估计。计算m 个滞后数时的自相关估计约需Nm 次实数乘加运算。
间接算法
间接方法是利用快速傅里叶变换的方法计算出功率谱密度函数的估值,然后再计算它的傅里叶反变换,即得自相关函数估值。由于采用了快速傅里叶变换算法,计算速度较快。如当N=2P时,间接算法所需要的运算量约为8NP次实数乘加运算。因此,两种方法的速度比是
如P=13,m=0.1N=819,则
,即间接算法比直接算法约快8倍。在用间接算法计算相关函数时,需要把随机信号序列的长度补零扩大到2N-1之后再计算其相关函数。
