[拼音]:leida zuoyong juli
[外文]:radar range
在某种观测环境及一定虚警概率P
和发现概率Pd条件下,雷达能检测到目标的距离,是雷达的重要性能参数之一。噪声干扰、杂波干扰以及有时出现的人为电子干扰和目标回波信号在空间环境并存,影响雷达对信号的检测。因此,雷达作用距离实际上决定于经雷达系统处理后的信号噪声比或信号干扰比。
雷达距离方程
描述雷达性能参数和目标环境对作用距离影响的表达式,可用以估算雷达作用距离,对于正确选择雷达性能参数具有重要意义。在雷达系统无损耗、收发天线共用和自由空间传播情况下,雷达回波信号的平均功率为
(1)
式中等号右边第一项为雷达发射功率辐射到空间时在距离R处的功率密度;
为发射机平均功率;Gt为天线发射增益;第二项中的σ为雷达目标截面积;4πR2为回波返回途径的散度。前两项乘积为反射回波在雷达处的功率密度;第三项Ar是天线有效接收面积。三项的乘积表示雷达天线所收到距离为R处的目标回波信号的平均功率。
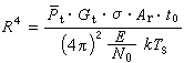
雷达作用距离实际上取决于经接收机处理后的信号噪声比,所以常以信噪比表示雷达距离方程。根据统计判决理论,不论雷达信号波形如何,在白噪声条件下接收机匹配滤波器输出最大信噪比等于接收回波信号能量E与接收系统噪声能量 N0之比。由于现代雷达采用了各种形式的信号波形,雷达距离方程用能量比表示较之用功率比表示更为合适。N0 等于玻耳兹曼常数 k(1.38×10-23J/K)与接收系统噪声温度Ts之乘积。E等于回波信号平均功率
与雷达天线波束扫过目标的观测时间t0之乘积。把这两个值代入(1)式,则得到以能量比表示的雷达距离方程
(2)
如果用可见度系数V0表示匹配接收机在一定P
和Pd条件下雷达检测目标所需的信噪比,用L修正实际雷达的各种损失(包括目标起伏损失、天线扫描损失、天线馈线系统损失、接收系统信号处理损失等),用雷达收发天线至目标方向传播因子
修正非自由空间传播的介质吸收、多径效应等影响,则得雷达距离方程为
(3)
这一雷达距离方程适用于各种类型的雷达,包括脉冲雷达、脉冲多普勒雷达和连续波雷达等。受噪声限制的雷达作用距离在方程中出现四次幂的关系,表示要增大雷达作用距离必须付出巨大的代价。在一定噪声条件下增大作用距离的根本途径,是增大接收机信号能量,即增大发射机平均功率与天线有效口径的乘积。
噪声影响
雷达内部和外部均产生噪声干扰,相对于接收机的窄频带而言,噪声干扰的频带很宽(称为白噪声,它的功率谱均匀分布),因此雷达信号检测受到信号能谱占有频带内噪声能量的限制。噪声属于随机过程,检测微弱信号时,不论信号是否有起伏,信号加噪声都具有统计的特性。检测信号时,往往设置一个门限电压。无信号时,噪声偶尔超过门限而被误为信号。这种情况出现的概率称为虚警概率,它由噪声特性、噪声功率和门限电压决定。在有信号时,信号加噪声超过门限则判定为发现目标。这种检测到信号的概率称为发现概率,在一定虚警概率下它随信噪比的增大而提高。信噪比这一参数,决定着作为雷达作用距离的函数的发现概率和虚警概率。为满足实际雷达所允许的虚警概率和发现概率,要求经接收机处理后的信号噪声功率比一般为10~100左右。
杂波干扰影响
在地物、海浪、云雨或箔条等分布目标所产生的杂波干扰背景中观测目标时,雷达检测能力受到杂波的限制。若雷达未采用反干扰措施,在杂波超过接收机系统噪声时,作用距离方程表示为信号杂波比的关系式,作用距离R在此方程中成一次或二次幂关系。在这种情况下,为保证雷达作用距离,提高雷达分辨力和采取适当的反杂波干扰措施是必要的。
人为噪声干扰影响
在人为噪声干扰环境中观测目标时,干扰噪声能量远大于接收机系统噪声能量。因此,雷达距离方程 (2)中应以接收到的单位带宽内的干扰噪声功率代替N0。这时,增大雷达发射机平均功率、观测时间和天线发射增益以及改善天线副瓣水平和采取反电子干扰措施便十分重要。
