药材名称:大叶紫珠
名称出处:植物分类学报
概况异名:止血草(云南)。
基源:为马鞭草科紫珠属植物大叶紫珠的叶及根。紫珠属全世界有190余种,中国约46种。
原植物:大叶紫珠 Callicarpa macrophylla Vahl(Callicarpa incana Roxb.;Callicarpa macrophylla Vahl.var kouytchensis Lévl.),又名赶风柴、贼子叶(广东、广西),羊耳朵(云南),大风叶、白骨风(广西)。
形态:灌木或稀为小乔木,高3~5m。小枝近四方形,密被灰白色粗糠状分枝茸毛,稍有臭味。单叶对生;具粗壮而密生灰白色分枝茸毛的叶柄,长1~3cm;叶片长椭圆形、卵状椭圆形至长椭圆状披针形,长9~23cm,宽4~17cm,基部钝圆或宽楔形,边缘具细锯齿,表面被短毛,背面密生灰白色分枝茸毛,腺点隐于毛中,顶端短渐尖;有侧脉8~14对。聚伞花序腋生,5~7次分歧,序宽4~8cm,被毛同小枝;具粗壮花序梗,长2~3cm;具线状苞片;花萼杯状,长约1mm,被灰白色星状毛和黄色腺点,萼齿不明显或为钝三角形;花冠紫色,长约2.5mm,顶端4裂,疏被星状毛;雄蕊4,着生于花冠管的基部,花丝长约5mm,花药卵形;子房被柔毛。果球形,径约1.5mm,有腺点和微毛。花期4~7月,果期7~12月。(图见《中国高等植物图鉴》.第3册.582页.图5118)
生境与分布:生于海拔100~2000m处疏林下或灌丛中。分布于广东、广西、贵州、云南,尼泊尔、锡金、不丹、印度、孟加拉、缅甸、泰国、马来西亚及印度尼西亚均有分布。
生药栽培:宜温暖湿润气候,对土壤要求不严,一般阳光充足、土层深厚的山坡地均可种植。主要用扦插繁殖,于4~8月间进行。选取健壮植株,剪取其2年生枝条,截成长12~18cm为插条,每条有2~3个茎节,按行株距各15cm,斜插于苗床砂质壤土中。当插条生根长叶成活后,便可定植。育苗期间,注意除草、松土,浇水保湿,并结合中耕追施稀薄人畜粪水1~2次,促使幼苗生长。通常在秋末或早春进行带土移栽定植。定植后,每年需抚育管理1~2次。
采集:根,全年可采;叶,夏、秋季采收。
贮藏:置阴凉干燥处。
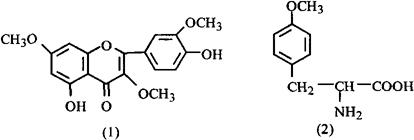
化学性质含紫珠萜酮(Calliterpenone)、木犀草素、芹菜素、大波斯菊甙(Cosmosiin,Apigenin-O-glucoside)、木犀草素-7-葡萄糖甙(Luteolin-7-O-glucoside)[1]、大叶紫珠黄酮(5,4’Dihydroxy-3,7,3’-trimethoxy flavone)(1)[6]。叶中还含β-谷甾醇、胡萝卜甙、紫珠萜酮单乙酯(Calliterpenonemonoacetate)、乌苏酸、2-α-羟基乌苏酸、山楂酸(Crataegolic acid)和齐墩果酸、升三脂肪酸乙酯、C22-C24脂肪酸[2,3]。另含L(+)-紫珠氨基酸(α-氨基-β-(对甲氧基苯)丙酸)(2)。又谓大叶紫珠等尚含有一种具止血效能的混合成分,主要含Ca、Mg、K及微量的Al、si、Fe等元素[4]。
附 ①裸花紫珠C.nudiflora Hook,etArn.叶含黄酮甙、酚类、鞣质和多糖[1]。 ②乔木紫珠C.arbora Roxb皮含降香醇(Baurenol)、β-谷甾醇[5]。
参考文献
[1] 中草药学.下册.江苏科学技术出版社,1980:899 。
[2] J Indian Chem Soc 1976;53(2):218 。
[3] J Indian Chem Soc 1976;53(11):1165 。
[4] 中草药 1985;16(12):28 。
[5] JIndian Chem Soc 1974;51(10):903 。
[6] J Indian Chem Soc 1978;55(6):628 。
[7] Tetrahedron Lett 1973;2179。
本品的叶制成的多种制剂,在临床上治疗溃疡病出血,有较好的止血效果。所含乌苏酸有抗菌、抗炎及中枢抑制作用;木犀草素也有抗菌、抗炎及平滑肌的解痉作用。芹菜甙元对平滑肌也有解痉作用,并有抗实验性胃溃疡作用。
参考文献
中华内科杂志 1977;新2(6)328。
性味:辛、苦,平。
功效:散瘀止血,消肿止痛。
主治:吐血,咯血,衄血,便血,外伤出血,跌打肿痛,风湿骨痛。 ①《常用中草药手册》:“止血,止痛,散瘀消肿。治消化道出血,咯血,衄血,创伤出血,拔牙出血,跌打肿痛,风湿骨痛。” ②《中草药学》:“止血消炎,散瘀消肿。主治胃溃疡、十二指肠溃疡出血,食道静脉曲张破裂出血及其它内出血,手术出血,外伤出血,鼻衄,齿龈出血,化脓性皮肤溃疡,烧伤。”
用法用量:内服:煎汤,15~30g。外用:捣敷或研末撒。
