药材名称:斑鸠菊
名称出处:《新华本草纲要》
概况异名:聋耳朵树(《云南药用植物名录》),火烫叶(云南),大藤菊(广西)。
基源:为菊科斑鸠菊属植物斑鸠菊的根。
原植物:斑鸠菊Vernonia esculenta Hemsl.(Vernonia papillosa Franch.)
形态:灌木或小乔木,高2~6m。枝圆柱形,多少具棱,被灰色或灰褐色绒毛。叶互生,柄长5~20mm,密被灰色短绒毛;叶片长圆状披针形或披针形,长10~23cm,宽3~8cm,硬纸质,顶端尖或渐尖,基部宽楔形,全缘或波状,表面暗绿色,稍粗糙,有乳头状突起,背面被灰色柔毛或短绒毛,两面均有亮腺点。头状花序径2~4mm,在枝顶组成宽圆锥花序;总苞倒锥状,总苞片约4层,卵形或卵状长圆形,全部或上部暗绿色,顶端尖或稍尖,背部及边缘被灰色短柔毛;全为管状花,长约7mm,淡紫红色,裂片线状披针形。瘦果近圆柱形,长约3mm,稍具棱,被疏短毛和腺点;冠毛约2层,外层短,内层糙毛状,长6~7mm,白色或污白色。花果期7~12月。(图见《中国高等植物图鉴》.第4册406页.图6225)
生境与分布:生于海拔1000~2700m的山坡阳处、草坡灌丛、山谷疏林或林缘。分布于广西、四川、贵州、云南等省区。
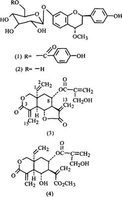
化学性质附 驱虫斑鸠菊(Vernonia anthelmintica Willd.)种子(新疆产)中得到10个化合物:对羟苯甲酰斑鸠菊黄烷甙(p-Hydroxy benzoylvernovan)(1)、斑鸠菊黄烷甙(Vernovan)(2)、斑鸠菊大苦素(Vernodalin)(3)、斑鸠菊醇(Vernodalol)(4)、3,4,2′,4′,5′-五羟基-6′-甲氧基-2-甲基查耳酮(3,4,2′,4′,5′-Pentahydroxy-6-methoxy-2-methyl chalcone)、β香树脂醇(β-Amyrin)、胡萝卜甙(β-Sitosterol-β-D-glucoside)、斑鸠菊酸(Vernolicacid)、豆甾醇(Stigmasterol)[1]。
杏叶斑鸠菊(V.amygdalina Del.)叶中得到斑鸠菊大苦素,及杏叶斑鸠菊苦素(Vernomygdin)均为细胞毒活性倍半萜[2]。
参考文献
[1] 化学学报 1991;49(10)∶1018。
[2] J Org Chem 1969;34(12)∶3908。
斑鸠菊大苦素vernadalin体外试验有抗人鼻咽癌KB细胞的作用,ED50为1.8μg/ml。
参考文献
J Org Chem 1969;34(12)∶3908。
性味:①《全国中草药汇编》:“甘、涩,温。” ②《新华本草纲要》:“甘、涩,凉。”
功效:消炎,解毒。
主治:阑尾炎,疮疖。
用法用量:内服:煎汤,10~15g。外用:适量,研粉,调敷患处。
临床应用单方应用:①《全国中草药汇编》:“治阑尾炎:斑鸠菊9~15g。水煎服。” ②《全国中草药汇编》:“治疮疖、斑鸠菊研末,调敷患处。”
