药材名称:棘叶
名称出处:《纲目》
概况基源:为鼠李科枣属植物酸枣的叶。
原植物:酸枣Ziziphus jujuba Mill.var.spinosa(Bunge)Hu exH.F.Chow
余项参见“酸枣”条。
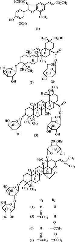
化学性质叶含槲皮素-3-O-葡萄糖甙、槲皮素-3-O-双葡萄糖甙、槲皮素3-O-芸香糖甙、鼠李亭(Rhamnetin)和圣草酚(Eriodictyol)[2]。十月份的叶所含黄酮比其他月份低,为2.76%(干重),其中含芸香甙为2.257%[3]。从叶得到新的木脂素(1)、齐墩果酸糖甙(2)和果树酸(Pomolic acid)的糖甙(3)[4],(1)在3μg/ml时能使大鼠主动脉的内源性PGI2(前列环素)提高25.3%[5]。从鲜叶又分到三个新的酸枣甙元(Jujubogenin)的糖甙(4)、(5)、(6),并对已知的枣素(Ziziphin)的原结构式[6]进行了修正(7)[7],(5)和(6)具有甜味抑制作用[7]。还含芸香甙、小檗碱、原阿片碱(Protopine)、蜡醇(Ceryl alcohol)、多量维生素C及苹果酸、酒石酸等[1]。
参考文献
[1] 江苏新医学院.中药大辞典.下册.上海人民出版社,1977:2304。
[2] CA 1988;109:187365g。
[3] 中国中药杂志 1992;17(2):81。
[4] CA 1988;109:79700d。
[5] Planta Med 1986;(6):501。
[6] Tetrahedron 1988;44(1):61。
[7] CA 1992;117:23239h。
药性
性味:《新华本草纲要》:“叶:味甘,性温。”
功效:清热,消炎,燥湿,止痒。
主治:小儿发热,疮疖,痔疮,热痱,烂脚。 《纲目》:“治胫臁疮,捣敷之,亦可晒研,麻油调敷。”
临床应用单方应用:①《纲目》:“治胫臁疮:棘叶捣敷或研末麻油调敷。” ②《中医大辞典》:“治冠心病心绞痛:棘叶制成片剂,每次5~6片(每片含生药2g),每日3次,连服8周。”
