[拼音]:youji yanliao
[外文]:organic pigments
一类不溶于水或油的有色有机物。有机颜料色谱齐全,色泽鲜亮、着色力高,适应范围广,但成本较高。
分类
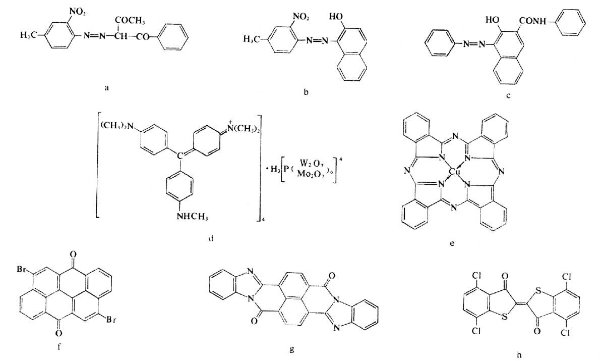
偶氮类颜料①汉沙型, 例如 C.I.颜料黄1(见结构式a,汉沙黄G);
(2)β萘酚型,例如C.I.颜料红3(b);
(3)纳夫妥AS型,例如大红粉(c);
(4)缩合型,例如C.I.颜料红44(m)。
色淀类颜料①正离子型色淀,例如C.I.颜料紫3(d);
(2)负离子型色淀,例如C.I.颜料橙17(n)。
酞菁颜料见结构式e。
还原类颜料①蒽醌型,例如C.I.颜料蓝60(o);
(2)蒽酮型,例如C.I.颜料红68(f);
(3)萘四酸型,例如C.I.颜料橙43(g);
(4)苝四酸型,例如C.I.颜料红123(i);
(5)硫靛型,例如C.I.颜料红88(h)。
双嗪类颜料例如C.I.颜料紫23(l)。
喹吖酮类颜料例如C.I.颜料红122(j)。
异吲哚啉酮类颜料例如C.I.颜料黄110(k)。
加工
有机颜料的合成与染料合成完全相同,而商品的加工后处理则不同。为了用户使用方便,有机颜料有各种商品形式。最常见的是粉状或浆状商品,也有将颜料和助剂预先分散在特殊的粘合剂中,成为有专用性的粉状、浆状或粒状。
任何商品形式都要求容易均匀分散,能制成持久稳定、无凝聚、无沉降的悬浮物料。1970年以来,颜料的加工处理技术已有很大发展,包括颜料颗粒的表面处理和颗粒的晶相调整等。
应用
有机颜料主要用于油墨、涂料、塑料、橡胶等四方面:油墨占50%,涂料25%,塑料12%,橡胶10%,其他3%。颜料除要求色泽鲜艳、经久不褪色外,在各种应用条件下,还有不同的性能要求。例如,用于油墨时,要求着色力、透明度(或遮盖力)、吸油性、耐晒牢度、耐酸碱牢度、耐水洗牢度、耐热性、分散稳定性等性能优良。用于涂料时,要求分散稳定性、耐晒、耐气候牢度、耐热性、耐溶剂性、酸碱牢度、粘合剂适应性、泛铜光、无毒性、耐迁移叠涂等性能优良。用于塑料时,要求分散稳定性、着色力、耐溶剂、耐迁移、耐晒牢度、耐热性、耐酸碱药剂等性能优良。用于橡胶时,要求分散稳定性、着色力、耐溶剂、耐热性、耐硫化、耐迁移、无毒性、浮花性等性能优良。
- 参考书目
- J.Griffiths,Colour and Constitution of OrganicMolecules, Academic Press, New York, 1976.
