[拼音]:puxian zengkuan
[外文]:spectral line broadening
由于自身的物理性质或受到所处环境物理状态的影响,使原子所发射或吸收的光谱线成为不是单一频率的谱线的现象。某些情况下,谱线不仅增宽,还发生移位。
由辐射原子自身物理性质产生的谱线增宽包括谱线的自然宽度和多普勒增宽。前者起因于原子在所处的受激能级上有一定寿命;后者起因于辐射原子无规热运动。
在天体、大气及一切其他光源中,辐射原子处在原子气体或电离气体中,由于各种粒子(包括中性原子、离子和电子)之间始终存在着相互作用,使得辐射原子的发射光谱线出现了增宽和移位的现象。
自然宽度谱线的自然宽度又称为固有宽度以波长┱表示,其数量级为10-4┱。根据经典力学观点,自然宽度是振子作阻尼振荡的结果;根据量子力学观点,自然宽度是原子处在受激能级上有一定寿命的结果。
(1)经典辐射理论中,辐射的基本单元是线性偶极子。辐射的能量损失源于原子振子的阻尼。一个频率为vo的经典振子的能量E是随时间t以指数规律衰减的,即
(1)
式中γ=2e2v娿/3meс3,称为阻尼常数,e和me是电子电荷和质量,с是真空中光速。根据傅里叶分析,一个阻尼波列发出的谱线强度的轮廓I(v)为
0
(2)
它满足归一化条件。这个谱线轮廓是洛伦兹型轮廓。谱线宽度,即谱线强度降至极大值一半时的宽度为 γ。以波长(┱)为单位的谱线自然增宽为
(3)
(2)辐射量子理论的创始人是A.爱因斯坦,辐射过程的量子力学定量描述是由P.A.M.狄喇克首先提出的。由于原子在辐射过程中失去能量并传递给辐射场,因此,不能认为原子是一个严格的守恒体系。原子从能级 n向能级n作自发跃迁时有一定的几率Ank,所以原子在受激态n上有一定的寿命τ,两者关系为
(4)
根据量子力学原理,原子在受激态上的寿命τ和能量的不确定值ΔE相联系,即
(5)
式中媡=h/2π,h为普朗克常数。只有当τ为无穷大时,ΔE才可能趋于零,原子才能处在一个有确定能量值的受激态上。因为受激态寿命是有限的,所以ΔE也是有限值,即能级有一定的宽度ΔE:
。 (6)
由于上能级n和下能级m的变宽,使两个能级间的跃迁不可能发出单一频率的辐射,而使谱线有一定的宽度,即
。 (7)
根据狄喇克的辐射的量子力学理论,证明辐射阻尼产生的自然增宽也有洛伦兹型谱线轮廓,即
(8)
如果一个单色光源以速度v运动,v在观察者视线方向(x方向)上的分量为 υx。由于多普勒效应使观察到的谱线频率相对于光源静止时的频率vo有一个移位Δv,并满足
(9)
其中с为光速。
事实上,光源内有许多辐射原子,辐射原子的无规热运动的多普勒效应使得原子发射的谱线增宽。这种谱线增宽的现象叫做多普勒增宽。
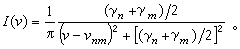
在热动平衡状态下,辐射原子集团的速度分布服从麦克斯韦分布(见麦克斯韦速度分布律)。如果认为原子在静止时发射的谱线是单一频率的,即忽略谱线的自然宽度和产生谱线增宽的其他因素时,在多普勒增宽下的谱线强度随频率的分布由下式确定:
(10)
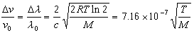
其中
,с为真空中光速,M为元素的原子量,R为气体的普适常数,T为绝对温度。I(vo)为中心频率vo处的强度。由多普勒增宽引起的是高斯型谱线轮廓。多普勒增宽的谱线宽度由下式给出:
。 (11)
在天体光谱和各种类型人造光源光谱的观测中,发现谱线随气体压强(或电流)的增大而增宽。谱线宽度随气体(包括电离气体)的压强的增大而增宽的现象叫做谱线的压致增宽。
关于谱线压致增宽,历史上曾以两种不同的观点建立了两种不同的理论,即碰撞理论和统计理论。碰撞理论的创始人是H.A.洛伦兹。他假设辐射振子受到干扰粒子碰撞时截断了波列,在相继两次碰撞的时间内辐射振子不受干扰。由辐射原子和干扰粒子碰撞产生的谱线增宽称为碰撞增宽。统计理论首先由J.霍尔茨马克提出。他假设辐射原子始终处在干扰粒子场的作用下,这个作用场依赖于干扰粒子的空间统计分布。在空间统计分布的干扰粒子的作用下产生的谱线增宽称为统计增宽。碰撞理论和统计理论是一般理论的两个极端情况,前者描述了高温、低密度、较轻粒子的突然干扰,后者描述了低温、高密度、较重粒子的持续性干扰。
干扰粒子的扰动引起的辐射原子振动的角频率的变化Δw与干扰粒子和辐射原子间的距离、干扰粒子的种类和相互作用的性质有关:
(12)
r为干扰粒子和辐射原子之间的距离,сn为相互作用常数,n与干扰粒子的种类和相互作用性质有关。
(1)线性斯塔克增宽 (n=2)。氢原子或类氢离子在等离子体中受到电子和离子的干扰,由于线性斯塔克效应产生的氢原子或类氢离子谱线的增宽称为线性或一级斯塔克增宽。在理论处理中应该考虑离子的统计场作用和电子的碰撞作用。通过测量氢原子巴耳末Hβ谱线的斯塔克宽度,可确定恒星大气或放电等离子体中的电子密度,准确度可达10%。线性斯塔克增宽的谱线没有移位。
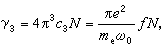
(2)共振增宽 (n=3)。同种原子干扰产生的谱线增宽称为共振增宽。共振增宽的谱线宽度为
(13)
式中N为干扰粒子数密度,f为振子强度,e和me是电子电荷和质量,wo是中心角频率。共振增宽的谱线也是没有移位的。
(3)二级斯塔克增宽 (n=4)。由于带电粒子干扰产生的二级斯塔克效应所引起的辐射粒子的谱线的增宽称为二级斯塔克增宽。这时,谱线不仅增宽,而且还有移位。谱线宽度γ4和移位Δ4分别为
(14)
(15)
式中с4为二级斯塔克常数,υ为干扰粒子相对于辐射粒子的速度,N为干扰粒子数密度。
宽度和移位的比值为
(16)
(4)范德瓦耳斯增宽 (n=6)。由于异种原子的范德瓦耳斯力(见分子力)相互作用产生的辐射原子谱线的增宽称为范德瓦耳斯增宽。这时,谱线宽度γ6为
(17)
式中с6为范德瓦耳斯常数,υ为干扰原子相对于辐射原子的速度,N为干扰原子数密度。
谱线增宽的理论和实验方法在天体物理、气体放电和等离子体物理等领域内有广泛的应用。例如,在天体物理研究中,通过谱线增宽的分析,可以深入了解恒星大气内的物理状态和大气内所进行的物理过程。在恒星大气中氢的含量很丰富,大多数恒星光谱中都有氢线。因此,可以通过测量氢巴耳末谱线轮廓和宽度来确定恒星大气中的电子密度和恒星大气的重力加速度等。在气体放电和等离子体物理领域中,谱线增宽的分析方法常作为等离子体测量和诊断的重要方法,利用谱线轮廓和宽度的测量,可以确定温度、粒子数密度和气压等重要的物理参量。
- 参考书目
- H.R.Griem,Spectral Line Broadening by Plasmas,Academic Press, New York, 1974.
- H.G.Kuhn,Atomic Spectra,Longmans, London, 1962.
- R.G.Breene,Jr.,Line Width,Handbuch der Physik,Band 27, Spring-Verlag, Berlin, 1964.
