[拼音]:tongdiao daishu
[外文]:homological algebra
代数学的一个非常重要的分支,是由美国的数学家与欧洲的数学家在20世纪40年代彼此独立而几乎同时开始发展起来的。同调代数源出于代数拓扑学,因而它仍保留着一些代数拓扑学中所用的术语,如循环(闲链)、边缘(边缘链)等等,而代数拓扑学本来就是把几何概念转换成代数概念的一种理论。
代数拓扑学中的同调群概念与同调代数有密切联系。在n维欧氏空间En中适当取q+1个点α0,α1,…,αq,q≤n,它们将张成一个q维超平面。取
,则所有这些x之集成为一个q维单形Sq,常记为(α0,α1,…,αq)。它以αi为其顶点,αi全为正数的点称为内点,其余的点,称为边缘点。
称为其一个边缘面,
是一个r维面,这里i0,i1,…,ir是0,1,…,q中的任何r+1个数,取C为En中有限个单形之集,其中任两个单形之交或为空集,或为它们的一个r维面,而且若Sq属于C,则其任一个r维面也必属于C。以Cq表示由C中所用的q维单形Sq所生成的加法自由交换群,并于Sq=(α0,α1,…,αq)时,定义
这里的±号是按照某种定向规则而确定的,于是得到一个链复形
, (1)
且嬠q-1嬠q=0,所以Im嬠q吇Ker嬠q-1(Im嬠是嬠的像,Ker嬠是嬠的核),这时,商群Hq=Ker嬠q/Im嬠q+1称为C的第q个同调群,同调群的理论集中地反映出复形的有关其边缘的几何性质。“同调”一词源出希腊文,意指“和谐”或“一致”。
代数学家不考虑上述同调理论中的几何意义,直接讨论式(1),研究其同调群,式中的Ci已不仅是一些交换群,而是环上的模。同调代数的理论已经变成研究环、一般代数、李代数与群的一种不可缺少的有力工具。
以下述及的环U与B都有单位元,模都是酉模,且一般是左U模。左U模范畴记作
。
范畴
中的一个复形是一列(A,嬠)
, (2)
式中An都是U模,嬠n是模同态,而且嬠n-1嬠n=0, Ker嬠n称为n循环,lm嬠n+1称为n边缘。于是Im嬠n+1吇Ker嬠n,定义
是复形(A,嬠)的第n个同调模。若式(2)中对所有的n都有Im嬠n+1=Ker嬠n,即所有Hn(A,嬠)都等于0,则(A,嬠)是一个正合列。特别,若在n≥3与n<0时,所有的 An都等于 0,而(2)又正合,则为短正合列
,这时嬠2必为单同态,嬠1必为满同态,而A0=A1/嬠2A2。
假定(B,d)也是一个复形, 设有模同态ƒn:An→Bn,使下图可交换
则ƒ={ƒn}称为由(A,嬠)到(B,d)的一个复形映射。于是,以所有的U模的复形为对象,以复形映射为态射,则得一个阿贝尔范畴,称为复形范畴,记为Ucm。由于
,所以,ƒn将引出Hn(A,嬠)到Hn(B,d)的一个模同态ƒ
n,称为同调映射。若ƒ与g都是(A,嬠)到(B,d)的复形映射,且有
,使对所有的n,恒有
,则ƒ与g为同伦的,记为h:ƒ埍g,这时必有ƒ
n=g
n。
固定任一整数n,每一个复形(A,嬠)将对应其第n个同调模Hn(A,嬠),而复形映射ƒ:(A,嬠→(B,d)将引出同调映射ƒ
n, 因此Hn是一个由Ucm到
的函子,它把(A, 嬠)变成Hn(A,嬠),把ƒ:(A,嬠)→(B,d)变成ƒ
n,这个Hn称为第n个同调函子。
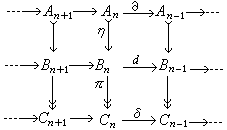
复形的短正合列
是指如下的交换图:
(3)
其中各行均为复形, 各列均为短正合列,
表单同态,
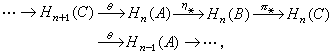
表满同态。对于(3), 有在同调代数中各个方面都起着重要作用的同调正合列定理:
有连接映射(模同态)
使有正合列(δ,嬠,d 等记号都省掉)
与上述同调相对偶的是上同调。设An为U模,则
(4)
称为上复形,式中嬠n嬠n-1=0,而商模
称为上复形(4)的第n个上同调模。
正合列
, (5)
当p0,p1,p2,…,pn,…都是投射模时,称为A的投射分解。由于每一个U模都是一个投射模的同态像,所以,每一个U模A都有投射分解。如果(5)中存在一个最小的n,使Im嬠n为投射模,那么,尽管A的投射分解并不惟一(可能有其他的投射分解),这个n却是不变的,称为A的投射维数, 记为PdA=n。如果每一个lm嬠n都不投射,那么PdA=∞。于是,PdA=0的意思就是A为投射模;若PdA=1,则A可分解成两个投射模之商,A=p0/p1;若PdA=2,则A是三个投射模之商,A=p0/p1/p2,…。 范畴
中各模的最大投射维数是这个范畴的一个总体性质,因而也是环U本身的一个总体性质,所以称为U的左总体维数
。已知:若ldU=0,则U为满足极小条件的半单环;若ldU=1,则U为左遗传环。同样可定义U的右总体维数rdU。一般说来,U的左、右总体维数并不相等。
与上述投射分解相对偶,正合列
,
当I0,I1,…都是内射模时,称为A的内射分解。由于每一个A都可嵌入到一个内射模内,所以A的内射分解一定存在。同样可定义A 的内射维数IdA。在
中各模的最大内射维数
正好等于U的左总体维数ldU。
设T是一个自
到BM 的共变加法函子,由下列的办法来定义的一系列新的函子LnT与RnT,称为由T 所导出的导函子。
取A与B均为U模,ƒ:A→B为模同态,(p,嬠)与(Q,d)分别为A与B的投射分解,则有复形映射{ƒn}使有交换图
于是有交换图
(6)
这里两行都是B模的复形,它们的第 n个同调模,将表以
与
,
而由Tƒn所引出的同调映射则表以LnT(ƒ),其实这些LnTA与LnTB并不随所取的投射分解而变,换成A与B的其他的投射分解,仍得到同样的LnTA与LnTB。同时,LnT(ƒ)也不随所取的复形映射{ƒn}而变,换ƒn为gn,只要图(6)仍然是可交换的,那么就有相同的同调映射
。 因此,由A变成LnTA,由ƒ:A→B得到LnT(ƒ),则得一个共变函子LnT,称为T的左导函子。
若改用A的内射分解,则用同样的方法可得到T的右导出函子RnT,它是一个共变函子。
如果 F是一个逆变加法函子,那么取 A的投射分解(p,嬠),就得上复形(Fp,F嬠),其第n个上同调模将记为RnF(A),因而可由F导出的右导出函子RnF,它是一个逆变函子。
若对所有的n>0恒有LnTA=0,则A称为一个左T-零调模。零调模在谱序列的理论中非常重要。
函子圱与Tor取M为右U模,对任一个左U模,定义
,并对模同态σ:A→B,令T(σ)=1圱σ:M圱A→M圱B, 则得一个由
到交换群范畴AG的共变加法函子T,此T也常表成M圱-。由T所导出的第n个左导出函子将表以Tor將(M,-),换言之,若取A的一个投射分解为(p,嬠),则得一个复形(M圱p,1圱嬠),此复形的第n个同调模就是Torn(M,A)(U有时可省去)。特别,Tor0(M,A)=M圱A。
同样,让A固定,则得函子-圱A,由其导出的第n个导出函子为Torn(-,A),所以Torn(-,-)实际上是一种双函子,它对两个变量(让其一固定,另一个变动)都是共变加法函子。
符号Tor是英文Torsion一字的前三个字母,它的意思是“挠性质”。假定U是一个整环(无零因子的交换环),而A是一个U模,让tA={α∈A│有某一非零α∈U,使αα=0},于是tA是A的一个子模,称为A的挠子模。让A对应tA即得
到其自身的一个共变函子t;另一方面,让Q为U的商域(也看成U模),令M=Q/U为商模,则可证明,函子t(可称为挠函子)与函子Tor
(M,-)是自然等价的,故用符号Tor。
固定一个左U模x,对于任一个左U模A,定义 FA=HomU(A,x),并对ƒ:A→B,定义F(ƒ):Hom(B,x)→Hom(A,x),使在σ∈Hom(B,x)时有交换图(7)。
(7)
F(ƒ)(σ)=σF,于是,F是一个由
到AG的逆变函子,其第n个右导出函子RnF将表以Ext
(-,x)。因此,先取A的任一个投射分解(ρ,嬠),再作上复形
, 则其第n个上同调模就是 Extn(A,x),特别,Ext0(A,x)=Hom(A,x)。
如果让A固定,令TX=Hom(A,x),并对g:x→Y,定义T(g):Hom(A,x)→Hom(A,Y),使T(g)(τ)=gτ如交换图(8),则T为
到AG的共变函子, 其第n个右导出函子将表以Extn(A,-),换言之,Extn(-,-)是一个双函子,它对第一个变量A是逆变的(让x 固定时);而对第二个变量x是共变的(让A固定)。
(8)
与Tor的情况类似,Ext是英文 Extension一字的前三个字母组成的符号,其意为“扩张”。设x与A都是U模,E称为x由A的一个模扩张,是指有短正合列0→x→E→A→0。两个扩张E与E┡称为等价的,意指有φ:E→E┡使下图可交换
这里的φ必是一个模同构,因而上述等价性是一种等价关系,以e(x,A)表所有等价类之集合,可以证明,e(x,A)与Ext1(A,x)是一一对应的。所以可认定e(x,A)就是Ext1(A,x)。
群的同调与上同调设G为乘法群,Z表整数环,以G的所有的元素为生成元素可得一个加法自由群ZG,因此ZG 中每一个元素都惟一地表成
的形状,这里m(x)∈Z,且只能有有限个m(x)不为0,再定义
,则 ZG是一个环,称为Z上的群环。任一个ZG模也称为G模。如果在z∈Z时,定义
,则Z作成一个左G模。
当A为G模时,
称为G的其系数在A内的上同调群。对偶地,若B为右G模,
称为G 的其系数都在B内的同调群。不难证明
这里的
称为ZG的增广理想,它在群的同调理论中十分重要。
各种群的 Hn与Hn的计算与理论是同调代数与群论中的重要研究课题。
谱序列它是同调代数中的一个重要的理论,也是一种研究同调模的重要方法。
设A是一个U模,若有模自同态d:A→A使B=Imd吇Z=Ker d,即dd=0,则(A,d)称为一个微分模,d是其微分,而商模Z/B是(A,d)的同调模H(A,d)。与复形的情况类似,B为d的边缘,而Z为d的循环。微分模的序列{Ar,dr}(r≥1 是整数)称为一个谱序列,是指对每一个r都有
。让Z2Ker d1,B2=Im d1,则A2=Z2/B2,又定义Z3与B3,使A3=Kerd2/Imd2=(Z3/B2)/(B3/B2)=Z3/B3,…,依此类推,可让Ar=Zr/Br,于是得一链
,令
,
,则A∞=Z∞/B∞称为谱序列{Ar,dr}的极限模。在r很大时,Ar可作为极限模的“近似”。
在同调代数中常用到的谱序列实际上是由双分次模所组成的,所谓双分次模,就是一些模Epq的集合,p与q都是整数。设E与D都是双分次模,且有整数对(α,b)),使对任何p、q都有一个模同态
,则d:E→D称为具有双分次(α,b))的映射。若d:E→E有次数(α,b)),且dd=0,即
,凬p,q,则d是微分,而
为其同调双分次模。假定(Er,dr)都是微分双分次模,且
,那么,这对于(Er,dr)也是一个谱序列。
用过滤的办法,可以从一个复形(A,嬠)得到一个很有用处的谱序列。假定对每一个p∈Z,FpA都是A的一个子复形,并且有
,
则F称为复形(A,嬠)的一个过滤。于是,对任何p就有一个复形的短正合列
,由同调正合列定理,得
, (9)
让
,
式(9)就可改写为
,
这里α,β,γ是有次数(1,-1),(0,0)与(-1,0)的映射。以E1表示双分次模{Epq},并取
,易知,d1:E→E有次数(-1,0),且d1d1=0,故d1是E1的微分。以E2表其同调双分次模,再适当定义d2:E2→E2为E2的微分。依此类推,即得一个谱序列(Er,dr),只要F取得恰当,这个谱序列可以提供(A,嬠)的同调模的一些信息。
- 参考书目
- H.Cartan and S.Eilenberg,Homological Algebra, Princeton Univ. Press, Princeton, 1956.
- S.MacLane,Homology, Springer-Verlag, Berlin, 1963.
- J.J.Rotmann,An Introduction to Homological Algebra,Academic Press, New York, 1979.
