[拼音]:huaxue relixue
[外文]:chemical thermodynamics
利用热力学定律研究化学反应的分支学科。主要包括热化学、化学平衡、溶液理论等,此外如电化学、表面化学、相平衡等也属于化学热力学范围。在研究化学反应时,需要知道反应的始态及终态的某些基本热力学性质(如内能、焓、熵、自由能、自由焓等)一般地说,如果始态(反应物)和终态(生成物)相对于适当参考态的焓和熵是已知的,则用热力学方法研究化学反应的条件就具备了。
热化学主要内容是用热力学第一定律研究“化学反应热”方面的问题。在化学反应中,一摩尔物质的变化(指主要的生成物或反应物)所吸收的热量名为化学反应热,简称为反应热。根据热力学第一定律知道,在定温、定压(或定容)下发生的化学反应,其反应热Qp(或Qp)等于反应过程焓(或内能)的变化 ΔH(或ΔU)。所以方程
(1)
是热化学中的基本热力学公式。利用态函数U、H 的性质,就可以从某些已知的反应热计算未知的反应热。
由式(1)可见,反应热Qp(或Qp)仅由反应物的初始状态及生成物的终了状态所决定,而与中间过程无关,这称为赫斯 (Hess)定律。例如化学反应 C+O2─→CO2可以分
和
两步实现,若这三个反应的反应热分别为Qp、Qp1、Qp2,则
Qp=Qp1+Qp2。
赫斯定律是热力学第一定律的早期实验基础之一,它可以帮助人们从易于测定的Qp(或Qp)值,计算难于测定的Qp(或Qp)值;它是热化学中的重要定律之一。
反应热与温度的关系由基尔霍夫定律给出。它的内容是:定压下,在两个不同温度(T1和T2)进行的同一化学反应,其反应热Qp(T1)和Qp(T2)不同。由赫斯定律可导出反应热随温度的变化满足如下关系
(2)
式中ΔCp为生成物的定压热容和反应物的定压热容之差。式(2)就是基尔霍夫定律,它也是热化学中的一个重要定律。
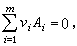
化学平衡主要内容是应用热力学的平衡判据研究化学反应的平衡条件。在化学热力学中通常把化学反应方程写作等式,例如,在化学热力学中将高温下氢分子和氧分子化合成水的反应式写为2H2O-2H2-O2=0。一般地,把任意一个化学反应写作如下形式
(3)
式中Ai表示第i种组元。vi表示第i种组元在化学反应中的计量系数,并规定对生成物而言vi取正号,对反应物vi取负号。
对在不同条件下发生的化学反应,可使用不同的平衡判据。例如,在恒温、恒压、恒组成(N)下进行的化学反应,其自发进行(相应于下式中的小于号)或平衡条件(相应于下式的等号)由自由焓判据确定。即
(4)
式中μi为系统中某物种的偏摩尔自由焓(或称化学势),dni为该物种摩尔数的变化。
由于化学反应
vAA+vBB+…─→vLL+vM M+… (5)发生时,各物种的数量变化dni要服从计量系数之间的比例关系,即
(6)
式中ξ为反应进度,dξ为在一个无穷小过程中化学反应的进度。因而在式(4)中化学反应的自由焓判据为
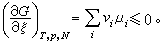
dGT,p,N=(-vAμA-vBμB+vLμL+vMμM)dξ≤0 (7)或
(8)
为在恒温、恒压、恒组成的系统中单位进度的反应(按计量系数的摩尔数发生的反应)产生的自由焓变值 Δ埥。为了满足恒组成的条件,可以设想系统非常大,因而发生了单位进度的化学反应后,系统的组成只变了无穷小量。Δ埥称为反应自由焓,-Δ埥称为化学亲合势。Δ埥越小(或-Δ埥 越大)则在该T、E、N(组成)时,反应趋势越大;Δ埥 等于零时,反应达到平衡。
当系统中没有产物时,产物的化学势为零;这时Δ埥=
即正向反应趋势极大;反之,若反应物的浓度为零,则Δ埥=∞,即逆向反应趋势极大。在反应的过程中,组成不断变化,Δ埥值也随之变化,变化的情况如附图中所示,正向反应的Δ埥由AB曲线表示,逆向反应的Δ埥由A┡B┡曲线表示。R为反应物,P为产物。O点处Δ埥=0,所以O代表平衡混合物。
化学反应的平衡条件为
(9)
μi为平衡系统中第i个组元的化学势。当系统为理想气体时,μi=μ孂(T)+RT lnpi。μ孂(T)为一个与温度有关的常数,称为标准化学势,Ei为平衡系统中第i个组元的分压,R 为摩尔气体常数。联合平衡条件式(9),可以得到平衡系统中各组元分压Ei之间的关系
(10)
或
。 (11)
称为标准反应自由焓。由式 (11)知道,
在恒温下为一常数,称为平衡常数, 以Kp表示
Kp=
(12)
和以上的论证相似,可以由μi与浓度
的关系得到
, (13)
由μi与摩尔分数xi的关系可得出
, (14)
Ka,Kx是平衡常数的另两种表示方法。
当系统处于非平衡态时,设其组元的分压为E媴,则当
时,反应正向进行;当
时,反应逆向进行。
用热力学方法研究多组元体系的理论。
溶液是液态溶体。溶体是一个含有两种或两种以上组元的均匀系。当溶体是气相时,通常叫做混合气体;当溶体是固相时,叫做固溶体。
在研究溶液性质方面,理想溶液是一个十分重要的模型。化学势具有以下形式
(15)
的溶液称为理想溶液。式中xi表示组元 i在溶液中的摩尔分数;
是温度T与压强E的函数。形成理想溶液的各组元在T、E不变的情形下混合时,总体积不变,也不吸收或放出热量,但其熵的变化为
。实际溶液的性质与理想溶液的有差别,但非常稀的溶液,或化学结构极为相似的组元混合而成的溶液,均很接近理想溶液,例如苯和甲苯形成的溶液。此外将理想溶液服从的规律经过“校正”,就可以研究非理想溶液的性质。
理想溶液的蒸气压与组元浓度的关系服从喇乌耳定律。设溶液与其蒸气达到平衡,并把蒸气看作混合理想气体,其中第i组元的化学势为
(16)
μ孂是在温度T及1个大气压时第i组元纯气体的化学势。若在同温度时,此纯液体的蒸气压是E孂,则按照喇乌耳定律,有
(17)
式中xi为第i组元在液相中的摩尔分数。将式(17)代入式(16)可得
。 (18)
由于在平衡系统中μi=μig,所以对比式(15)及式(18)得出
(19)
在理想溶液中,任一组元从xi=0到xi=1都服从式(15),即无论是溶剂还是溶质,在整个浓度范围内都服从喇乌耳定律。
常遇到的溶液是稀溶液,即其中一种组元的数量远远大于其他组元的数量。数量占得较少的溶质不服从喇乌耳定律而服从亨利定律
(20)
因而对于溶质在式(15)中的
(21)
除上述溶液的蒸气压受到溶质摩尔分数(或说浓度)的影响外,随着溶质浓度的增加,溶液的沸点升高而凝固点下降,这些性质在实际中均有重要应用。
非理想体系中各组元的化学势与压力(或摩尔分数)之间的关系比较复杂,但将理想体系中各组元的化学势的表达式加以“校正”,就可使其既适用于理想体系又适用于非理想体系,在形式上统一起来。为了达到这一目的,G.N.路易斯提出了逸度f与活度α的概念。在真实气体混合物中,用逸度fi代替理想混合气体中的分压Ei,则化学势表达为
μi=μ孂+RTlnfi。 (22)
逸度f相当于“校正压力”,它与T、E及混合物的组成有关。与此相似,在溶液中用活度αi,代替第i组元的摩尔分数,则化学势表达为
μi=μ孂+RTlnai。 (23)
活度αi是第i组元的化学势的量度,它与T、E及溶液的组成有关,相当于“校正浓度”。逸度与压力的比值称为逸度系数;活度与摩尔分数的比值称为活度系数。二者代表非理想体系与理想体系偏差大小的量度,可以通过实验方法测定。
