[拼音]:mingyi huobi xuqiu yu shiji huobi xuqiu
[外文]:nominal demand for money and actual demand for money
持币者在当前价格水平下对货币的需求为名义货币需求,它以货币单位(如“元”)来表示;在名义货币需求基础上剔除物价因素,以货币所实际对应的社会资源即商品和劳务表示的货币需求,即为实际货币需求。
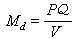
名义货币需求最简单的名义货币需求表述式由I.费希尔的交易方程式演变而来,即:由于
MV=PQ
因此有:
后式中,Md为名义货币需求,P为价格水平,Q为一定时期由货币媒介的商品劳务量,V为同期货币的流通速度。该式由I.费希尔的交易方程式MV=PQ演变而来,由于这是一个恒等式,左端为一定时期已实现的货币购买力,右端为同期所实际提供的商品供给总额,因此,名义货币需求的公式总是成立的。由于Q、V在短期(如一年)内不易改变,故可假设公众的名义货币需求与价格水平呈同比例增减。又因价格水平可视为货币价值的倒数,则名义货币需求可用DD曲线(需求曲线)表示,如图。
图中名义货币需求与货币价值呈同比例不同方向的变动,货币价值与物价呈反比,物价水平又与货币供给量按同比例同方向变动,因此,货币供应量成为名义货币需求量的主要决定因素,并且在均衡状态下名义货币需求等于货币供给量。由于Q、V在短期内虽无大的改变但并非完全不变,因此上述结论仅仅是一种极端的理论假设。
J.M.凯恩斯首次强调了货币作为资产或价值贮藏的重要性,并基于对投机性货币需求的分析引入了利率因素,由此将名义货币需求分解为两部分,其交易需求由名义收入决定,其资产需求由利率水平决定。凯恩斯关于名义货币需求的公式可一般地表示为:
或 
名义货币需求与名义收入依同一方向变化,而与名义利率呈相反变动。
M.弗里德曼进一步采用资产结构等方法分析名义货币需求,具体分析了影响名义货币需求的多种因素,将名义货币需求定义为受四组变量综合影响的函数,即:
实际货币需求
在计量分析中,通常将名义货币需求以具有代表性的物价指数(如GNP平减指数)平减后,可得实际货币需求。由于包含物价因素在内的名义货币需求不能直接反映公众的真实需要,所以人们更注重或考察得更多的是实际货币需求。仍以最简单的交易方程式为例,由于1/V可表示为k,代表国民收入中以货币形式持有的份额,因此:
实际货币需求不同于名义货币需求的是,它只随k、Q的变动而变动。当实际收入(Q)越高时,实际货币需求越大,同样,持币率k越高时,实际货币需求越大。若设定Q、k在短期内不变,则实际货币需求为一恒常值,即
凯恩斯在肯定实际收入或产量对实际货币需求具有决定影响的同时,进一步指出了利率对实际货币需求的重要作用,因此,实际货币需求被视为实际收入和利率的函数,即:
式中实际货币需求、实际收入及利率的关系如图。图中实际货币需求(f)向下倾斜,表明它同利率的反函数关系。实际货币需求由f(y1)向f(y2)的位移,表明它同实际收入的正函数关系。
弗里德曼认为:财富总值、人力资本与非人力资本的比例、货币与其他资产的预期收益及其他因素为实际货币需求的四个决定因素。实际货币需求与其他金融资产的收益率循相反方向变动,与物价上升率呈反方向变动,与总财富呈相同方向变动。
