[拼音]:gongyepin chuchang jiage zhishu
[外文]:index of producer price of industrial products
反映中国工业企业产品出厂价格在不同时期变动程度的相对数指标。
中国编制的工业品出厂价格指数包括 400多种代表产品、700多种代表规格品。分为生产资料和生活资料两大类,又细分采掘工业、原材料工业、加工工业、食品工业、衣着工业、一般日用品工业、耐用消费品工业等7 类;按工业部门分为冶金工业、电力工业、煤炭工业、石油工业、化学工业、机械工业、建材工业、森林工业、食品工业、纺织工业、缝纫工业、皮革工业、造纸工业、文教艺术用品工业、其他工业等15类。计算方法一般采用加权算术平均数公式,具体步骤是:
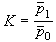
(1)计算平均单价。先用简单算术平均法求得各代表产品(或代表规格品)基期和报告期的平均单价孒0和孒1。
(2)计算单项工业品即代表产品(或代表规格品)的出厂价格指数K。其公式为:
(3)用加权算术平均法计算工业品出厂价格总指数。其公式为:
式中噖为总指数或类指数;K为单项工业品出厂价格指数(或类指数);W为各产品的权数。
