[拼音]:tongji zhishu
[外文]:statistical index numbers
有广狭二义:狭义指综合反映不能直接相加的社会经济现象总体总动态的相对数。通称总指数。广义指说明同类现象对比的相对数,既包括总指数,也包括个体指数;既包括时间上的对比,也包括空间上的对比。
种类可从不同的角度划分:
(1)按说明对象的范围,可分为个体指数和总(组)指数;
(2)按指标的性质,可分为数量指数和质量指数;
(3)按基期是否固定,可分为定基指数和环比指数;
(4)按资料范围,可分为全面资料指数和代表选样指数;
(5)按计算方法,可分为综合指数和平均数指数,其中平均数指数又可分为算术平均数指数、调和平均数指数和几何平均数指数。
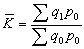
综合指数计算总指数的一种形式,是由包括两个以上因素的总量指标对比而形成的指数。它将其中一个或一个以上的因素指标固定下来,观察另一因素指标的综合变动。固定下来的因素称同度量因素,它使另一因素变得可以相加,同时也起着权数作用。以产品产量指数为例,其以基期生产价格作同度量因素的综合指数噖公式为:
式中 q0)、q0 分别代表基期和报告期的产品产量,p0代表基期生产价格。指数反映多种产品产量这一个因素综合(平均)变动的幅度,生产价格作为同度量因素固定在基期,这是计算各种数量指数的共同要求。指数分子与分母相减的绝对值,说明在生产价格未变的情况下,仅由于产品产量一个因素的增加(或减少)而使生产额的增加(或减少)数。
属于质量指标这一类的商品物价指数,其综合指数公式则可采用不同时期的同度量因素。它可得到不同的结果,具有不同的经济内容。
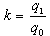
(1)按基期销售量作同度量因素计算:
指数说明报告期多种商品价格总的升降幅度,它不受销售量变化的影响。其分子与分母之差说明仅由于商品价格下降(上升)致使销售额减少(或增加)的数额。检查成本计划执行情况时,为了同时考察是否严格按计划产量的结构来生产,需按计划期(类似基期)产量作同度量因素来编综合成本指数。
(2)按报告期销售量作同度量因素计算:
指数说明报告期所售多种商品的价格总变动幅度,其中包含有销售量因素由基期到报告期的变动。分子与分母之差说明由于价格变动使报告期实际增减的销售额,它说明居民购买当前商品时由于价格变动而实际节约或增加的金额,更具有现实意义。所以质量指标的指数,要视具体情况选择同度量因素的时期,不可一概而论。
用综合公式编制总指数要求使用比较全面的资料,多在总体范围比较小、现象比较简单时应用。
平均数指数计算总指数的又一形式。它是个体指数的平均数(加权或不加权)。常用的有加权算术平均数指数、加权调和平均数指数和简单几何平均数指数。
(1)加权算术平均数指数。以产品产量指数为例,其算式为:
式中
为产量个体指数;W为权数。在有全面资料时,加权算术平均数指数实即综合指数公式的变形
,其权数要求为全面的基期生产额。但通常是只有非全面资料作权数,特别是在个体指数使用选样资料时,计算加权算术平均数指数更具有独立的意义。
(2)加权调和平均数指数。以商品物价指数为例,其算式为:
式中
为物价个体指数;M 为权数。在有全面资料时,加权调和平均数指数实即综合指数公式的变形
,其权数要求为全面的报告期实际销售额。但通常是利用非全面资料作权数来独立地计算调和平均数指数。
(3)简单几何平均数指数。n个个体指数之积开n次方。与发展速度的几何平均数意义相同(见平均数)。它不存在同度量因素的问题。以商品物价指数为例,其算式为:
简单几何平均数指数
式中∏为连乘符号,n为商品价格的项数。简单几何平均数指数计算方便,应用较广,常用来反映一些现象的短期动态。
指数法的因素分析 复杂社会经济现象总体中的各因素是互相联系的。指标上的联系也反映到指数中,形成指数体系,可用以对总体的变动作因素分析,如分析粮食产量变动中平均亩产与播种面积两因素变动的影响。设A0、A1分别代表基期和报告期平均亩产,Q0、Q1分别代表基期和报告期播种面积,可得指数体系:
即:产量指数(发展速度)=亩产指数×面积指数×亩产与面积共变影响指数。
指数分子与分母的差:
即:增加产量=亩产增长效果+面积增加效果+亩产与面积共变影响效果。
上述指数体系中,如只有一项未知,则利用其他已知项可以推断。
统计指数还可用于平均指标动态的结构分析。因平均指标也是有被平均指标的各组水平和各组单位数比重两个因素的复杂现象,固定一个因素指标就可反映另一因素指标的变动。
统计指数也可用于计划检查。应用的基本特点是用计划指标和实际指标代替总指数中的基期指标和报告期指标。
此外,统计指数还可用于静态的地区差异分析,如编制各地区的差价指数。以p0代表标准地区价格,p i(i=1,2,…)代表其他地区价格,则按简单算术平均数指数计算的地区差价指数为:
式中W为地区权数。
