[拼音]:zihuanliushi dianyaxing nibian dianlu
[外文]:voltage source inverter by self-commutation
由电压型直流电源供电的自换流式逆变电路。由普通晶闸管组成,向非容性负载供电。根据输出电压的相数,包含单相电路和三相电路两类。
单相逆变电路主电路的结构如图1所示。
该电路由以下5部分组成。
(1)直流电源A:由不控整流电路实现,输出恒定直流电压,直流输出端并联大电容Cd,使直流电源具有电压源性质。
(2)负载电路B:由L0和R0组成的串联感性电路,其阻抗角∮=tg-1ωL0/R0,其中ω是输出电压基波角频率。
(3)单相桥式电路C:是逆变电路的主体。其结构与一般电压型逆变电路相同(如串联逆变电路),桥的每一导电臂均由晶闸管T和反并联二极管 D组成。后者为电路的无功电流提供通路。
(4)换流电路D:基本功能是及时关断退出导通的元件以实现各导电臂间电流的转移。常用能够实现上述功能的换流电路是将一个事先充好电的电容器在换流时刻到来时并接到需要关断的晶闸管阳极和阴极间,利用电容负压将晶闸管关断。图1D所示为麦克默里电路,这是一个互补式电路,其一相的等效电路如图2所示。
当开关S置a时,可关断元件T1;当S置b时则关断元件T4,Ck和Lk组成的换流电路置于该互补电路的公共通道上。在实际电路中,开关S用工作于互补状态的两个普通晶闸管T1A和T4A替代。设换流前有uC=-UC0(按图标正方向,圆圈内极性为实际方向)。当S合向a(即T1A导通)时,由CK和LK组成串联振荡电路所产生的振荡电流ic将强制iT1下降并将T1关断。在此过程中Ck被反向充电并有uC=+UC0。当S合向b时(即T4A导通),为关断T4作准备。
(5)控制电路E:最基本功能是按照给定信号的幅值产生相应重复频率为ω的门极脉冲加到桥各臂T1~T4和换流晶闸管T1A和T4A,使逆变桥各导电臂轮番通断,在输出端便得到重复角频率为ω的交变方波电压,实现逆变的目的。逆变电路输出频率受控于给定信号,在需要对输出电压进行调节的场合,可通过改变门极脉冲的参数来实现,通常称为逆变器内部调压方式(见逆变电路输出电压调节)。由于换流是在桥一相上下导电臂间进行,因此必须严格保持先断后通的换流程序,即只有在退出导通元件可靠关断之后才能接通相的另一导电臂,否则便将出现一相上下臂元件均导通态的短路状态,Cd中的储能释出将导致可控元件过流损坏。为此应正确安排换流晶闸管门极脉冲与各主晶闸管间的超前相移量,保证有足够时间以关断退出导通的元件。
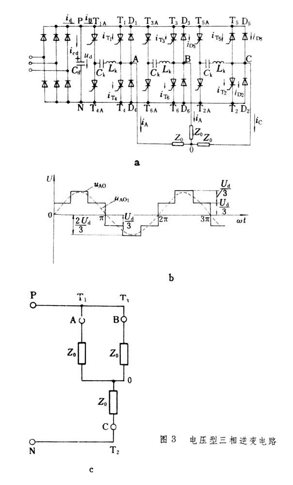
三相逆变电路该电路(图3a适用于向交流电动机之类的三相负载(感性)供电。
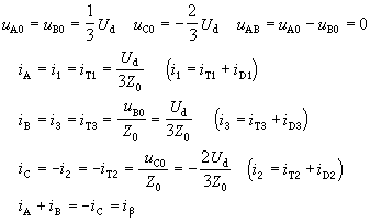
)比较图2和图3b可见,直流电源仍为电压源,换流电路仍用麦克默里电路,负载仍为RL串联感性负载(在电动机时则附加反电动势E),但逆变桥则扩展为三相桥式电路(由T1~T6组成)。当各门极脉冲的相位被安排为一相上下臂脉冲为互补(如T1与T4间为互补,余类推),各脉冲按图3主晶闸管标号互差60°(如T2滞后T1脉冲60°,余类推),则桥中各主晶闸管将按1-2-3-4-5-6-1依次轮番导通。任何时刻电路只有3只主晶闸管处于通态。例如有T1T2T3导通,则电路中有图3b的状态。若选择负载中点 0为参考点,有
由此可见,当T1~T6轮番通断时,负载相电压波形将如图3c所示。这是一个六阶梯波,其基波频率取决门极脉冲的重复频率,它受控于信号电压的幅值,从而实现三相逆变的目的。
由于在任何时刻电路中都有3只元件导通,晶闸管的利用率较高,负载端电压波形不受负载功率因数的影响。但由于Cd和反并联二极管的存在,直流侧电压极性不能改变。因此采用电压型逆变电路向交流电动机供电时便局限于电动机运转状态。鉴于此,这种逆变电路多用于交流机群拖系统,且无频繁加减速的应用场合。
