[拼音]:cengliu he wenliu
[外文]:laminar flow and turbulent flow
实际液体由于存在粘滞性而具有的两种流动形态。液体质点作有条不紊的运动,彼此不相混掺的形态称为层流。液体质点作不规则运动、互相混掺、轨迹曲折混乱的形态叫做紊流。它们传递动量、热量和质量的方式不同:层流通过分子间相互作用,紊流主要通过质点间的混掺。紊流的传递速率远大于层流。水利工程所涉及的流动,一般为紊流。
雷诺数表征液流惯性力与粘滞力相对大小,可用以判别流动形态的无因次数,记作Re。雷诺数的定义式为:
式中ρ、μ、υ分别为液体的密度、动力粘滞系数、运动粘滞系数;υ、L为流动的特征速度和特征长度。雷诺数小时,粘性效应在整个流场中起主要作用,流动为层流。雷诺数大时,紊动混掺起决定作用,流动为紊流。对于同样的液流装置,由层流转换为紊流时的雷诺数恒大于紊流向层流转换的雷诺数。前者称上临界雷诺数,其值随试验条件而变,很不稳定;后者称下临界雷诺数,其值比较稳定,对于一般条件下的管流(圆管直径为特征长度,断面平均流速为特征速度),约为2300。
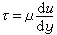
层流只存在粘滞切应力。在简单的剪切流中,粘滞切应力:
式中
为剪切变形速度,亦即速度沿垂直方向的变化率;μ为动力粘滞系数,只和液体种类及温度有关的常数。此式表达了著名的牛顿内摩擦定律。层流中摩擦阻力及沿程水头损失均与流速的一次方成正比,流速分布呈抛物线型。圆管层流流速分布如图1所示。
紊流
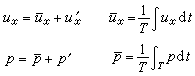
又称湍流。液体运动呈随机性,即速度、压强等均随时间、空间作不规则的脉动,是紊流的基本特征(图2)。可采用时间平均法,将任一物理量的瞬时值分解为时均值与脉动值,即:
式中u∞、ū∞、u'分别为某一点处沿x方向的瞬时流速、时均流速与脉动流速;p、圴、p'分别为某点处的瞬时压强、时均压强与脉动压强;T为适当选取进行平均的时段。
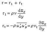
紊流中除粘滞切应力τ1外,还有紊流附加切应力τt。由纳维-斯托克斯方程导出紊流时均运动的雷诺方程,就会增添紊流附加应力,又称雷诺应力。如紊流时均速度分量仅有ūx=ūx(y),则有:
式中vt为紊动交换系数或涡旋运动粘滞系数。和运动粘滞系数υ不同,它不是单由物性决定的常数,而是和流动状态有关的变量。
关于τt或vt的计算,常用L.普朗特提出的动量传递理论,即:
式中l为混合长。显然
。按照动量传递理论结合实验,已导出紊流的对数型速度分布公式,与实验结果比较接近。与层流相比较,紊流流速分布趋于均匀,摩擦阻力和水头损失增大,在充分发展的紊流中,沿程水头损失与流速的二次方成正比。
