[拼音]:jibo
[外文]:shock wave
在超声速气流受到压缩、活塞在气缸中运动或物体在大气中高速运动等情况下,流场中往往会产生压力、密度和速度等物理量突然跳跃的间断面,这种间断面的传播便形成激波。它是气体动力学的一个重要概念。激波的间断面厚度很薄,一般小于1微米。气流通过激波时受到不可逆的绝热压缩,波后气流压力、密度、温度增高,速度降低,熵值增大,滞止温度不变,滞止压力下降,这种压缩比定熵压缩强烈得多。
激波的传播速度比声速大,产生激波的必要条件是相对于激波的来流速度必须是超声速,即波前马赫数
必大于 1。激波与来流的夹角称为激波角β。β=90°的平面激波称为正激波,正激波后相对于激波的气流速度必为亚声速。β<90°的平面激波称为斜激波。此外,还有弯曲激波如脱体激波等。图中为几种产生激波的流动。
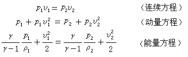
由质量、动量和能量守恒定律得到的正激波前、后物理量的关系式称为正激波基本方程(见流体动力学基本方程)。对于常比热容理想气体,其形式为
式中下角标 1、2分别表示正激波前、后物理量;γ为比热容比; p为压力;ρ为密度;v为速度。由上述基本方程可得到激波前后热力状态参数和滞止参数与波前马赫数的关系式(正激波关系式),对于各种常用气体已制成表格。斜激波与弯曲激波也可应用正激波关系式,应用时只须用马赫数在激波面的法向分量Μɑ1n和Μɑ2n分别代替Μɑ1和Μɑ2。
