药材名称:剪夏罗
名称出处:《浙江天目山药用植物志》
概况异名:剪红罗(《证治要诀》),剪春罗(《纲目》),剪金花、雄黄花(《植物名实图考》),阔叶鲤鱼胆、山药田(浙江)。
基源:为石竹科剪秋罗属植物剪夏罗的全草。
原植物:剪夏罗Lychnis coronata Thunb.
历史:《纲目》载:“剪春罗,二月生苗,高尺余,柔茎绿叶,叶对生抱茎,入夏开花,深红色,花大如钱,凡六出,周围如剪成可爱,结实大如豆,内有细子。”所指即为本种。
形态:多年生草本,高50~80cm。根茎竹节状。茎丛生、直立。叶卵状椭圆形,长6~10cm,宽2~4cm,边缘具细锯齿。聚伞花序顶生,有花1~5朵;花直径3~4cm;花萼长筒形,顶端5裂,裂片尖卵形,具10脉;花瓣5,橙红色,顶端有不整齐浅裂。雄蕊10;花柱5。蒴果顶端5齿裂;种子多数。花期5~6月,果期7~8月(图见《中国高等植物图鉴》.第1册.637页.图1273)
生境与分布:生于山坡疏林内或山谷林缘草丛中。原产中国,现广泛栽培于世界各地。分布于江苏、浙江、江西。
生药采集:夏、秋季采收全草,洗净,晒干。
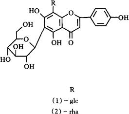
化学性质附 同属植物毛剪秋罗(L.coronaria(L.)Desr.)地上部分含皂甙,黄酮和游离糖[1],叶含松醇(Pinitol)、异金雀花甙(Isoscoparin)、阿魏酰葡萄糖(Feruloyl glucose)[2]及两个C-葡萄糖黄酮:6,8-双-β-D-葡萄吡喃糖-5,7-二羟基-4-羟基黄酮(即巢菜素2,Vicenin2)(1)和6-[O-(6-去氧-α-L-甘露糖)-β-D-葡萄吡喃糖-5,7-二羟基-4′-羟基黄酮(2)[3]。
参考文献
[1] CA 1988;108∶62429d。
[2] CA 1982;97∶159518z。
[3] CA 1982;97∶56140r。
药性
性味:甘,寒。
功效:清热解毒,止痛,止泻。
主治:①《证治要诀》:“火带疮缠腰生者,或花或叶,细末,蜜调敷。” ②《全国中草药汇编》:“感冒,关节炎,腹泻,带状疱疹。” ③《浙江天目山药用植物志》:“治因淋雨或落水感寒,及饮冷水等引起的身热无汗,口渴。”
用法用量:内服:根:10~15g;全草:15~30g。外用:鲜花或叶,适量捣烂外敷或根研细末,植物油调敷患处。
临床应用单方应用:①《全国中草药汇编》:“治感冒,关节炎,腹泻:剪夏罗全草15~30g。水煎服。” ②《全国中草药汇编》:“治带状疱疹:鲜剪夏罗捣烂外敷。”
