药材名称:凤尾兰
名称出处:《浙江药用植物志》
概况异名:波罗花(通称)
基源:为百合科丝兰属植物凤尾丝兰的花。丝兰属全世界约40种,中国引入栽培的约4种。
原植物:凤尾丝兰Yucca gloriosa L.,又名风尾丝兰,剑麻(通称),白棕(浙江舟山)。
形态:常绿木本植物,茎短而少分枝。叶密集,螺旋排列于茎上,质坚硬,有白粉,剑形,长40~70cm,宽4~6cm,顶端硬尖,通常边缘无白色丝状纤维或老时有之。圆锥花序高1m多;花乳白色杯状,下垂;花被片顶端带紫红色,宽卵形,长4~5cm;雄蕊花丝肉质。上部约1/3向外反曲。蒴果椭圆状卵形,长5~6cm,不开裂。花期9~10月,果期11~12月。(图见《中国高等植物图鉴》.第5册.545页.图7917)
生境与分布:原产北美东部和东南。中国引种栽培,有的已成半野生状态。
化学性质含皂甙、主要有异菝葜皂甙元(Smilagenin)、剑麻皂素(Tigogenin,约含0.95%~1.1%)、芰脱皂甙元(Gitogenin)。花蕾中含剑麻皂素1.25%~1.55%[1]。
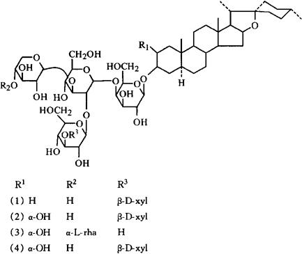
鲜花中含甾体糖甙[2]。它们是Tigogenin-3-0-β-D-xylopyranosyl-β-lycotetraoside(1)、Girogenin-3-O-β-D-xylopyranosyl-β-lycotetraoside(2)、Gitogenin-3-O-α-L-rhamnopyranosyl-β-lycotetraoside(3)、Prototype ot gitogenin-3-O-β-D-xylopranosyl-β-lycotetraoside(4)。
附 叶中含甾体皂甙有洛克皂甙元(Chlorogenin)及其双醋酸酯、剑麻皂素、β-谷甾醇、胆固醇、芸苔醇(Campesterol)、α-谷甾醇;、豆甾醇和甾醇单甲酯(Monomethylsterol)[3]。其叶片的麻渣中含有八种皂甙元,其中主要成分是芰脱皂甙元(约占65%~70%)和曼诺皂甙元(Manogenin,约占20%)[4]。另外还含有脂肪酸、糖等[5]。茎中主要含异菝葜皂甙元(Smilagenin),尚有芰脱皂甙元、看莫皂甙元(Kammogenin)、Penogenin、薯蓣皂甙元、番麻皂甙元(Hecogenin)、曼诺皂甙元、美克索皂甙元(Mexogenin)[6]和糖甙[7]。种子含脂肪酸[8]。
参考文献
[1] CA 1986;104;65931q。
[2] Phytochemistry 1988;27(10);3235。
[3] CA 1989;110;111767q。
[4] 医药工业 1981;(4).8。
[5] CA 1984;100;82743q。
[6] CA 1984;101∶207622d。
[7] Phytochemistry 1989;24(4);1215。
[8] CA 1986;104∶203821g。
功效:平喘止咳。
主治:哮喘。 《浙江药用植物志》:“可治支气管哮喘。”
用法用量:内服:煎汤,3~9g,加冰糖调服。
