[拼音]:jingdian xiaoying
[外文]:electrostatic effect
溶液中的静电库仑作用对液相中离子间反应速率的影响。具有较普遍意义的模型的基本假定为:
(1)A和B离子(或偶极子)生成的活化络合物 (用下角标≠ 标示)是球形的;
(2)离子间相互作用较弱;
(3)溶剂分子的偶极矩相对来说较小;
(4)非静电作用对理想状况的偏差忽略不计;
(5)体系为稀溶液,且离子强度为零;
(6)介质是连续的;
(7)活化络合物的形成可看作该球体的充电过程。据此得出以下表达式:
式中k和k0分别为当介质的介电常数为ε和∞时的反应速率常数;r、Z和μ分别为相应粒子的半径、电荷数和偶极矩;e、kB和T分别为电子电荷、玻耳兹曼常数和热力学温度。
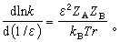
对于离子间反应,偶极矩μ均为零,方程式最后一项为零,变成单球活化络合物模型的波恩表达式。对于偶极子的相互作用,没有净电荷,Z均为零,方程式右边第二项可删去,静电效应由最后一项确定。对于离子和偶极子间的反应则必须包括后面两项,通常第二项小,主要由最后一项来预示。但无论对于那一类反应,方程均可用lnk对1/ε作图得直线关系,斜率与组成该体系各粒子的半径、电荷和偶极矩有关。溴乙酸盐和硫代硫酸盐间的离子反应可证明这一点。用此方程作精确定量有困难,而半定量关系就非常有用,它可表明介电常数对反应速率常数的影响。例如,一个中性分子电离时,活化络合物有很大的偶极矩μ
>μA、μB,则据此方程,介电常数增大,反应速率常数也增大。这意味着高介电常数的溶剂有利于生成偶极矩大的任何粒子。又如,对于离子间的作用,方程最后一项可删去,设rA≈rB≈rAB,得:
此结果说明:
(1)对于同号离子反应,将lnk对1/ε作图,斜率为负,即介质的介电常数增加,反应加快;
(2)异号离子反应得正斜率,介电常数增加,反应速率减低。这都是介电常数高的溶剂分子减弱了离子间静电库仑力的结果。
静电作用由于对活化自由能有贡献, 故对活化熵 S 也有贡献,从而影响频率因子,它正比于
可以估算出频率因子按
数量级随ZAZB作跳跃式的变化,这已为实验数据所证实。
