多环芳烃(Polycyclicaromatichydrocarbons,PAHs)是指分子中含有两个或两个以上苯环的碳氢化合物.PAHs是一类全球性的污染物,主要来源于煤炭、石油、有机高分子和许多碳氢化合物的不完全燃烧,并广泛分布于自然环境中,具有致癌、致畸和致突变效应,对人体健康有较大危害,一直是环境领域研究的热点.1976年美国环保局(USEPA)将16种PAHs列为优先控制对象,包括萘、芴、菲3种低环PAHs.其中,人们对于萘和菲的研究相对较多,而有关芴的研究则相对较少.
目前,常见的去除水中PAHs的方法主要是微生物降解,但微生物的生长容易受到pH、温度、营养物质等环境条件的影响,降解速率也受到限制.近年来,纳米技术的发展为带来了一种新思路.与其他纳米材料相比,纳米零价铁具有一定的磁性,在外加磁场的作用下可方便地从溶液中快速分离,克服了回收困难、二次污染等问题.用纳米铁能有效地去除氯代烃、联苯醚、芳香族硝基类等有机物,而用纳米铁去除多环芳烃芴的研究还鲜有报道.
因此,本试验采用液相还原法制备零价纳米铁,并研究纳米铁对芴溶液吸附去除的影响因素、吸附等温线、吸附动力学,同时,对纳米铁去除芴的机制进行初步探索,以期为多环芳烃污染的治理提供依据.
2材料与方法
2.1试验材料
主要试剂:KBH4(分析纯)、FeSO4·7H2O(分析纯)、聚乙二醇(分析纯)、芴(色谱纯)、甲醇(色谱纯)均购自天津光复精细化工研究所,丙酮(色谱纯)购自天津江天统一科技有限公司.
主要仪器:HZS-H型水浴恒温振荡器,Agilent1100型高效液相色谱仪,配有可变波长紫外检测器(VWD).
2.2纳米铁的制备
将2.16gKBH4水溶液缓缓加入到FeCl3和聚乙二醇的混合液中:Fe2++2BH-4+6H2O→Fe0↓+2B(OH)3+7H2↑,反应完全后将所生产的纳米铁用去氧去离子水和无水乙醇各洗涤3次,置于无氧水中密封保存.
2.3试验方法
试验在100mL锥形瓶中进行,反应瓶内装有一定质量新鲜合成的纳米铁,加入起始浓度为250μg·L-1的芴溶液后通入氮气5min,保证无氧环境后密封.同时,在另一锥形瓶中不加入纳米铁做平行试验(即为控制样),将锥形瓶置于(24±1)℃的水浴振荡器中,振荡速率为(160±10)r·min-1,每隔一定时间用注射器(防止空气中氧气进入)取样,用高效液相色谱仪测定芴的浓度.
2.4芴的测定
芴的质量浓度通过高效液相色谱仪进行测定,色谱条件:采用ZORBAXSB-C18型色谱柱(4.6mm×250mm,5μm),流动相为V(甲醇)∶V(水)=90∶10,流速1.0mL·min-1,柱温30℃,进样量20μL,紫外检测波长254nm.
2.5芴的质量分析
振荡48h时,对控制样芴溶液浓度进行质量分析,结果表明其减少量不超过5%,因此,认为锥形瓶对芴的吸附及芴本身短时间内的挥发可不予考虑.
3结果与讨论
3.1纳米铁投加量对芴吸附的影响
当初始芴浓度为250μg·L-1,反应温度为25℃,pH=7,纳米铁投加量分别为1、2、4g·L-1时,芴的去除效果见图1.由图1可知,当纳米铁投加量分别为1、2、4g·L-1时,芴的去除效果随投加量的增加而显著增加,3种不同投加量条件下对芴的吸附去除在反应最初的2h内非常迅速,并且均能在48h内达到平衡.这是由于在纳米铁表面存在反应位与非反应位,污染物被吸附时,在反应位上的吸附能直接导致污染物的降解.纳米铁对芴的去除主要发生在颗粒表面,故在初始阶段反应迅速进行.投加量较小时,纳米铁表面积较小,对应的吸附性能较弱,吸附速率慢;而投加量大时,反应位点和反应表面积也相对较大,吸附性能较强,反应过程为吸附和降解两部分之和,反应速率加快.这说明当其他条件固定不变时,增加纳米铁的投加量,芴的去除效果随之增强.

图1不同纳米铁投加量对芴去除率的影响 3.2初始芴浓度对芴吸附的影响
在温度25℃、pH=7、纳米铁投加量4g·L-1的条件下,考察芴初始浓度分别为50、80、150、250、500μg·L-1时的去除效果(图2).可以看到,当纳米铁投加量一定时,芴的去除率随着芴初始浓度的增大而减小.芴初始浓度为50μg·L-1时,去除率达到54.47%,平衡吸附量为6.8μg·g-1;当芴初始浓度500μg·L-1时,去除率为29.75%,平衡吸附量达到37.19μg·g-1.、

图2初始芴浓度对芴去除率的影响 3.3pH值对芴吸附的影响
在温度25℃、初始芴浓度250μg·L-1、纳米铁投加量4g·L-1的条件下,调节溶液pH值分别为3、5、7、9、11时,芴的去除率随pH的变化关系见图3.可以看出,随着pH值的降低,芴的去除率逐渐升高,即低pH有利于纳米铁对芴的去除.这是由于酸性条件下不易形成Fe(OH)3沉淀钝化层,随pH值升高,溶液中铁离子会生成Fe(OH)3沉淀,并累积覆盖在纳米铁表面不利于零价铁的溶解,进而阻碍反应的进一步进行.

图3pH值对芴去除率的影响 以上结果表明,pH对物质在溶液中的存在形式有一定的影响.由纳米铁本身的性质和反应过程中出现的现象分析可知,酸性环境下加快了零价铁的腐蚀,提高了反应速率,并且酸性条件也能有效抑制铁表面出现沉淀物的沉积,使得零价铁表面的反应位成分暴露接触,促进了反应的进行.
3.4温度对芴吸附的影响
当纳米铁投加量为4g·L-1,初始芴浓度为250μg·L-1,pH=7,试验温度分别为15、25、35℃时,芴的去除效果见图4.可以看出,纳米铁对芴的去除率随温度的升高而增加,35℃时纳米铁对芴的吸附能力最强,去除率达到50.45%,平衡吸附量为28.87μg·g-1;温度降低,吸附能力下降,但变化不大,15℃时纳米铁对芴的去除率为39.24%,平衡吸附量为22.46μg·g-1.同时,纳米铁对芴的吸附量随时间的延长而增加,在接触反应12h左右,吸附基本达到平衡.

图4温度对芴去除率的影响 3.5温度对吸附等温线的影响
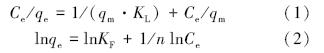
常见的描述吸附等温线的方程为Langmuir、Freundlich、线型和Redlich-PetersonEquation方程(Aksuetal.,2005).其中,Langmuir方程(1)和Freundlich方程(2)是最常用的2种.

式中,Ce为达到吸附平衡时芴的浓度(μg·L-1);qm为饱和时的吸附量(μg·g-1);qe为达到吸附平衡时芴的吸附量(μg·g-1);KL是与吸附容量有关的常数;Ce/qe与Ce呈线性关系,qm、KL可通过直线的斜率和截距求得;KF是衡量吸附能力的大概指标;1/n是衡量吸附强度的常数;KF、1/n可通过直线的斜率和截距求得.
纳米铁投加量为4g·L-1,初始芴浓度分别为30、50、80、150、250、500μg·L-1时,分别对不同温度下的吸附过程进行Langmuir方程和Freundlish方程模拟,拟合曲线见图5,拟合数据见表1.

图5Langmuir(a)和Freundlich(b)吸附等温线方程模拟 表1不同温度下的Langmuir和Freundlich吸附等温线方程及参数
由图5可知,Langmuir和Freundlich方程都可以用来描述纳米铁对芴的吸附等温线,可决系数均达到0.9以上.由表1可以看出,在温度为15、25、35℃时,饱和吸附量qm随温度的升高而增加,1/n的值则为0.7269~0.7389,在0~1之间,表明吸附过程为化学作用.有研究认为,1/n值介于0.1~0.5之间时易于发生吸附,由表1可知,纳米铁对芴的吸附不易发生.3.6吸附动力学拟合
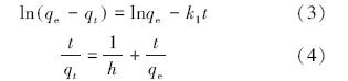
在纳米铁投加量为4g·L-1,温度为25℃时,取不同浓度的芴溶液,分别采用准一级动力学方程(3)(Vijayaraghavanetal.,2006)和准二级动力学方程(4)(Ho,1995)对吸附动力学过程进行拟合.

式中,k1为准一级吸附速率常数(min-1),k2为准二级吸附速率常数(g·μg-1·min-1),qe为平衡吸附量(μg·g-1),qt为t时刻的吸附量(μg·g-1),用ln(qe-qt)对时间t作图,拟合曲线见图6a,拟合数据见表2.由表2数据可知,芴初始浓度为150μg·L-1时,可决系数R2=0.9085,而在其他4个初始浓度下,R2均小于0.9,表明该吸附过程并不符合动力学一级模型.h=k2qe2可视为初始吸附速率,用t/qt对时间t作图可得一直线,通过直线的斜率和截距计算得到实际k2和理论平衡吸附量qe,拟合曲线见图6b,拟合数据见表2.

图6准一级(a)和准二级(b)动力学拟合曲线 表2不同初始浓度下的吸附动力学方程及参数
由图6b及表2可知,纳米铁对芴的吸附过程符合准二级动力学方程,在芴的初始浓度为80、150、250μg·L-1时,可决系数均达到0.999以上,芴初始浓度为50、500μg·L-1时,R2也达到0.99以上.并且当芴初始浓度分别为50、80、150、250、500μg·L-1时,由实验数据计算所得的理论平衡吸附量分别为6.797、10.014、16.534、25.113、36.819μg·g-1,实际测得的平衡吸附量分别为6.809、10.051、16.625、25.158、37.187μg·g-1,二者相差均在1%以内,故纳米铁对芴的吸附过程很好地符合准二级速率方程,吸附速率随芴初始浓度的增大而减小,平衡吸附量随芴初始浓度的增大而增大.3.7反应机理的初步探讨
与普通铁粉比较,纳米零价铁具有较大的比表面积和很强表面活性,能够吸附降解多种污染物.目前,利用零价铁去除有机污染物的机理已有较多研究,一般认为反应是通过污染物先吸附到纳米铁颗粒表面,然后两者进行氧化还原反应.纳米铁加入溶液中后,能与水反应生成Fe2+,同时在零价铁颗粒表面形成一层羟基氧化铁(FeOOH)膜,FeOOH是一种常见的铁腐蚀产物,以前的文献也有类似的报道,反应方程如下:

为探讨此反应体系中纳米铁对芴的去除机理,利用液相色谱仪对反应产物进行分析.将4g·L-1的纳米铁与250μg·L-1的芴溶液反应50h后加酸溶解铁,使铁表面的芴重新溶解到水相中,经高效液相色谱检测芴的浓度,并与空白试剂做对比,芴的出峰时间是5.306min,显示经反应后吸附在铁表面的芴基本能完全溶解于水相中,纳米铁溶液中的芴浓度与空白对照基本一样(差值6.72%)且无其他产物生成,说明纳米铁对芴的去除仅是吸附作用.结合动力学曲线,纳米铁与芴反应的前一段时间,反应速率及去除率增加最快,10h后去除率基本达到平衡,在这个时间过程中,纳米铁与水等物质发生反应,使其表面形成铁氧化物.这一层铁氧化物可能也是对芴起吸附作用的主要物质,但还需做进一步的相关研究探明这种吸附作用的机理.
4结论
1)研究了纳米铁去除芴时各因素对反应效率的影响,结果表明,随着纳米铁投加量和温度的增加,芴的去除率相应增加;增加初始芴浓度,纳米铁吸附能力减小;低pH条件缓解了纳米铁的氧化和团聚现象,有利于提高纳米零价铁还原吸附芴的反应速率和去除率.
2)纳米铁对芴的吸附等温线符合Langmuir和Freundlich方程,可决系数均达到0.9以上,且1/n的值为0.7269~0.7389,在0~1之间,表明吸附过程为化学作用.
3)纳米铁对芴的吸附过程很好地符合准二级动力学方程,吸附速率随芴初始浓度的增大而减小,平衡吸附量随芴初始浓度的增大而增大.
4)对反应机理进行初步探讨发现,纳米零价铁对芴的去除主要是吸附作用的结果.此外,纳米铁与水等物质发生反应,使其表面形成铁氧化物,这一层铁氧化物也可能是对芴起吸附作用的主要物质,关于其吸附机理还需做进一步的相关研究.















