1,3-二溴-5,5-二甲基海因简称二溴海因(1,3-dibromo-5,5-dimethylhydantoin,DBDMH)是广谱、高效的缓释消毒剂,其杀菌效率是常规含氯消毒剂的40倍以上。在冷却水处理、游泳池用水净化、医院用品消毒等方面均获得了广泛的应用。
由于海因类消毒剂本身的不稳定性,直接检测的报道较少。陈强等通过检测消毒剂中的二甲基海因进而换算得到消毒剂含量。也有用化学发光法直接测定海因类消毒剂,检测限较低。而且化学发光法对仪器要求较高,同时消毒剂水解产生的有效氯和有效溴都会引起化学发光,对体系有一定的干扰。另一种方法是以碘量法为代表的检测消毒剂水解产生的有效溴或有效氯浓度。本文中有效溴包括游离溴HBrO,以及游离溴与少量NH3反应形成的溴胺(以+1价溴计)。但碘量法在25mg/L有效溴以下时误差较大,目测比色法改进后检测限仍高于1mg/L,不适用于测定普通游泳池水中低浓度的消毒剂残留。
ABTS(2,2-联氮-双-(3-乙基苯并噻唑啉-6-磺酸))已被用于检测饮用水中的次溴酸、高锰酸钾等氧化性物质[5-6]。其测定原理是在pH=2时,ABTS与氧化剂反应,ABTS被氧化形成较为稳定的绿色自由基(图1所示),并通过分光光度法进行准确测定。本文以传统碘量法作对比,首次探讨采用ABTS显色分光光度法对二溴海因中有效溴(以+1价溴计)进行测定。

1.试验材料与方法
1.1试验材料与仪器
使用试剂均为分析纯。各试剂储备液均用超纯水(Milli-Q)配制。ABTS(2,2-azinobis(3-ethyl-ben-zothiazoline)-6-sulfonicacid-diammoniumsalt)购自上海申工。商用二溴海因消毒片(上海钟磊环保科技有限公司)研磨成粉末,密封待测。ABTS显色分光光度测定使用HACH双波长紫外-可见分光光度计(DR2800)。使用万通研究级离子色谱仪测定溴酸根离子和溴离子,METROSEPASUPP5-250色谱柱,100μL进样量,抑制电导检测,3.2mmol/LNa2CO3/1.0mmol/LNaHCO3淋洗液,流速0.7mL/min。溴酸根离子和溴离子的检测限分别为5μg/L和2μg/L。
1.2试验过程
1.2.1HBrO存储液的配制、标定与杂质(溴酸根、溴离子)
HBrO存储液配制具体方法如下:冰浴中使用AgNO3溶液滴定红棕色溴水,直至无色,过滤,冷藏待用。其反应方程式:
Br2+AgNO3+H2O→AgBr↓+BrO-+NO3-+2H+
(1)
在300nm、400nm、500nm下测定HBrO存储液吸光度,依据摩尔吸光系数分别为ε(Br2)300=9.0mol-1.L.cm-1、ε(Br2)400=172mol-1.L.cm-1、ε(Br2)500=37.3mol-1.L.cm-1;ε(HBrO)300=43.4mol-1.L.cm-1、ε(HBrO)400=4.0mol-1.L.cm-1、ε(HBrO)500=0.27mol-1.L.cm-1标定纯次溴酸溶液[7-8]。标定显示新配制的HBrO存储液中Br2未超过3%。
通过离子色谱进行溴酸根和溴离子分析,结果表明新配制的HBrO溶液中含有少量的溴酸根和溴离子(总量未超过10%),每日试验的HBrO均为新鲜配制。
1.2.2碘量法测定二溴海因中的有效溴
强酸条件下(pH<2),DBDMH释放有效溴完全,KI与有效溴反应,生成单质碘。单质碘通过硫代硫酸钠滴定定量,进而换算得到有效溴含量。

参照文献中的碘量法测定有效溴含量:称取0.1504g二溴海因粉末、2gKI加入碘量瓶,加入125mL蒸馏水,充分振荡直至完全溶解。加2mol/L硫酸溶液20mL,置暗处5min;用硫代硫酸钠标准溶液(浓度为C,mol/L)滴定至淡黄色,加入淀粉指示剂继续滴定至蓝色消失,记录耗用的硫代硫酸钠标准溶液的体积V(1mL),同时做空白试验,记录硫代硫酸钠标准溶液耗用体积V(2mL);根据1mol有效溴消耗2mol硫代硫酸钠的计量关系,按式1计算样品的有效溴含量。
TAB(totalavailablebromine,g/L)=(V1-V2)×10-3×C×0.5×79.9
(4)
1.2.3ABTS法测定次溴酸、溴胺、二溴海因中的有效溴
理论上1mol+1价溴(次溴酸或溴胺)在酸性条件下与2molABTS反应形成2mol氧化自由基,自由基溶液显绿色,405nm处摩尔吸光度为31600mol-.1L.cm-1。

参照文献中的方法,将HBrO存储液按不同倍数稀释,取10mLHBrO溶液、1mL硫酸(0.05mol/L)和1mL(1g/L)的ABTS加入到25mL的比色管中,用纯水稀释至25mL,放置1min,测定405nm处吸光度值。
将用碘量法标定的二溴海因存储液逐级稀释,用ABTS方法进行测定。
2.结果
2.1ABTS分析方法的建立
在0.08~1.61mg/L有效溴范围内绘制ABTS方法标准曲线(如图2所示),回归方程为A=1.243C-0.085,R2=0.998。重复7次,各标线线性良好(R2>0.99,SD<0.03),斜率几乎相同(k=1.24±0.02L.mg.cm-)1。

取标定过的次溴酸溶液逐级稀释至0.16mg/L和1.58mg/L,平行测定5次,计算相对标准偏差分别为2.75%和1.34%,如表1所示。

参照美国环保署方法计算检测限(MDL)。检测两组每组7个低浓度样品,根据空白均值和3.14倍标准偏差(99%置信度)计算检测限0.02mg/L。取经标定的次溴酸存储液0.5mL放入25mL比色管,显色测定,按标曲回归计算浓度。再分别加入0.5mL,1.0mL和2.0mL存储液后测定,计算回收率(如表2)。

2.2与碘量法的对比
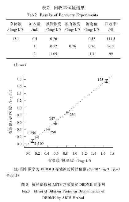
配制DBDMH存储液(1040.2mg/L),碘量法测定其有效溴含量为19.9%(207mg/L)。稀释不同倍数后使用ABTS方法测定其有效溴的值。
DBDMH在405nm处有较高的空白吸收值(0.010~0.018cm-)1,高于纯次溴酸溶液的空白值(0.008±0.002cm-)1。可能源于消毒剂中其它成分,扣除空白后测定不受影响。图3显示,按照有效溴浓度稀释至0.15~2mg/L范围内,即可通过ABTS方法测定,稀释倍数对于浓度测定值的影响不大。
称取不同质量的DBDMH粉末,溶解后用碘量法测定有效溴含量。稀释后使用ABTS方法测定其中的有效溴,结果见表3。从中可见,两种方法的结果相差不大(最大相对误差绝对值小于15%),造成某些点误差大的原因主要来源于测定值过低(稀释过多导致)。因此用ABTS测定二溴海因中的有效溴是可行的。

对同一消毒剂粉末,分别采用碘量法和ABTS方法测定其有效溴相对含量(如表4)。经t检验无显著性差异(99%置信度)。

普通游泳池消毒剂使用量在5mg/L以下。而ABTS显色法在低浓度范围内(0.24~2.11mg/L,以有效溴计)线性良好,适合作为游泳池二溴海因消毒剂残留的检测方法。DBDMH在水中易水解,产生次溴酸和海因(DMH)。海因在光照和溶解氧的作用下分解生成CO2和NH3。

然而静置试验表明DBDMH在自衰退过程中氨氮的量始终很低。10mg/LDBDMH溶液(有效溴2mg/L)在室温下静置120h后氨氮产生量仍小于0.2mg/L。这说明溶液中HBrO相对于NH3过量,一旦产生则迅速反应生成溴胺。由于在pH=2条件下各溴胺中的+1价溴与ABTS的反应计量系数始终是1∶2(式5、6、7、8)。因此,使用ABTS方法,二甲基海因释放的NH3对有效溴的测定影响很小。
试验表明,在纯水基质pH约为2的条件下,DBDMH(20μmol/L)产生的ABTS.+很稳定,5h时间内吸光度的衰褪小于3%。与文献报道的稳定性一致。因此可现场取水样显色反应,避免了长途运输水样过程中消毒剂的衰减问题,保存一段时间后再行测定也不影响精度。
3.结论
碘量法对照试验表明,ABTS分光光度法可准确测量水中低浓度的二溴海因,在0.08~1.61mg/L有效溴范围内线性良好,检测限低(0.01mg/L)。ABTS方法操作步骤简单,显色时间长,不易褪色,可作为游泳池消毒剂残留的可靠检测方法。















