总体标准差的计算公式

浏览

总体标准差的计算公式

方差被定义为平方差的平均数。这个平均数为总和除以N,因此,总体方差的公式为:

方差=

总体标准差的计算公式

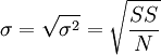
标准差是方差的平方根,因此,总体标准差的公式为:

标准差=

总体标准差的计算公式

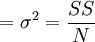
与平均数(μ)一样,方差和标准差是总体的参数,将用希腊字母表示。我们用σ表示总体标准差。为了强调标准差和方差之间的关系,我们用σ2表示总体方差。所以:

总体标准差=

总体标准差的计算公式

总体方差

总体标准差的计算公式


相关文章