欧式保护性卖权策略的模型

浏览

欧式保护性卖权策略的模型

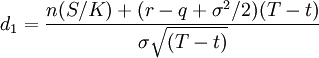
在连续股利分发的假设下,Black&Scholes(1973)推演出无套利空间之欧式卖权评价模型如下:

欧式保护性卖权策略的模型

其中:

欧式保护性卖权策略的模型

欧式保护性卖权策略的模型

S=标的股票价格

K=执行价格

r=连续复利无险利率

σ=波动率,即年化的股票收益率的连续标准差

N(d1)=代表累积标准正态分布函数

T=合约尚存到期日(以年计算)

q=指数(或股票)的持续股利支付率

得出避险比率为:

欧式保护性卖权策略的模型

这个Delta为负值,意味着看跌期权的多头应该利用标的股票的多头头寸来保值,看跌期权的空头应该利用标的股票的空头头寸来保值。


相关文章