[拼音]:jueyuan cailiao jiedian xingneng ceshi
[外文]:dielectric properties test of insulating material
绝缘材料的介电性能直接关系这些材料在电工设备中的应用,绝缘材料介电性能测试主要包括绝缘电阻率、相对介电常数、介质损耗角正切(见介质损耗)及击穿电场强度等的测试。测试的结果受很多因素影响,如受环境条件(温度、湿度、气压等)、测试条件(如施加电压的频率、波形、电场强度等)、电极与试样的制备等的影响。因此,必须按有关标准的规定进行测试。
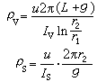
绝缘电阻率测试通常采用三电极系统(图1)。
可以分别测出体积电阻率ρv和表面电阻率ρs。对于平板试样
对于管状试样
式中u为施加于试样的直流电压,Iv、Is分别为流过试样体积和表面的电流,D1、D2、g分别为电极的直径以及电极间的间隙, L、r1、r2、d分别为电极长度、试样的内外半径及厚度。电极材料可用粘贴铝箔、导电橡皮、真空镀铝、胶体石墨等。在特殊情况下,例如测量薄膜的ρv、ρs,可用二电极系统。
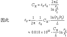
相对介电常数(εr)测试相对介电常数通常是通过测量试样与电极组成的电容、试样厚度和电极尺寸求得。
应用三电极时,对于平板试样,由于平板电容Cx的计算公式是
根据实际经验修正为
对于管状试样,由于圆柱形电容Cx的计算公式是
根据实际经验修正为
式中Cx为试样电容(法),L为电极长度(米),D1为电极直径(米),g 为电极间的间隙(米),d 为试样厚度(米),r1、r2为试样的内外半径。
应用二电极时
式中Cx为试样电容,Cm为测量电容,C0为试样的几何电容,Ce为试样的边缘电容,Cg为试样的对地电容。
介质损耗角正切(tan δ)的测定通过测量试样的等效参数经计算求得。也可在仪器上直读。在工频、音频下一般都用电桥法测量,高电压时采用西林电桥法(图2)。
电桥平衡时
式中CN为标准电容,C4为可调电容,R4为固定电阻,R3为可调电阻。
当频率为几十千赫到几百兆赫范围时,可用集总参数的谐振法进行测量(图3)。
使频率和电感保持恒定,在接入试样和不接试样时调节调谐电容使电路谐振。若接试样时C=Cs,不接试样时C=Cns,则试样电容的测量结果是
Cx=Cns-Cs
这时可用变Q值法和变电纳法计算试样的tan δx。在变Q值法中是根据接入试样且回路谐振时的 Q值(Qi)与不接试样且回路谐振时的Q值(Q 0)的变化来计算损耗角正切,即
式中Cr是回路的总电容,除谐振电容外,包括试样的零电容、接线电容等。变电纳法是根据接试样时谐振曲线的半功率点的宽度△C1(图4)
和不接试样时相应的宽度△C0的变化来计算损耗角正切,即
在这些测试中,选择电极极为重要。常用的是接触式电极。可用粘贴铝箔、烧银、真空镀铝等方法制作电极,但后者不能在高频下使用。低频测量时,试样与电极应屏蔽。在高频下可用测微电极以减小引线影响。在某些特殊场合,可用不接触电极,例如薄膜介电性能测试和频率高于30兆赫时介电性能的测量。
击穿电场强度测定绝缘材料的击穿电场强度以平均击穿电场强度(EB)表示
式中uB为击穿电压,d 为试样的平均厚度。
工频下击穿电场强度的试验线路如图5。
R0通过调压器使电压从零以一定速率上升,至试样被击穿,这时施加于试样两端的电压为击穿电压。测击穿电场强度时,电极需照有关标准的规定。
击穿电压可用静电电压表、电压互感器(见互感器)、放电球隙等仪器并联于试样两端直接测出。击穿电压很高时,需采用电容分压器。冲击电压下的击穿电场强度测试,一般用冲击电压发生器产生的标准冲击电压施加于试样,逐级升高冲击电压的峰值直至击穿。冲击电压可用50%球隙放电法、也可用阻容分压器加上脉冲示波器或峰值电压表测量。
