[拼音]:wencha fadian
[外文]:thermoelectricity
一块导体或者半导体的两端如果温度不同就会产生温差电动势,称为赛贝克效应,利用这个原理发电就叫温差发电。
图1为简单的温差发电元件(或称温差电池),N型半导体1和P型半导体2在一端用金属片3连接起来,另一端接负载电阻R。当一端加热至温度T1,而另一端保持在温度T0时,回路中产生温差电动势,使负载电阻上有电流I流过,根据塞贝克定律
式中α为电池两臂温差电动势率之和,r为两臂的内阻之和。
r=(ρ1/s1+ρ2/s2)l
式中ρ1、ρ2、 s1、s2分别表示两臂的电阻率和横截面积;l表示两臂的长度。负载电阻上得到的功率为
温差发电效率的定义是外电路中得到的有用电能I2R与热源所消耗的能量之比。热源消耗的能量包括以下几项:
(1)在热端吸收的珀尔帖热Q1
Q1=α2T1(T1-T0)/(R+r)
(2)由热端传导到冷端的热量Qm
Qm=K(T1-T0)
式中K为热导
K=(λ1s1+λ2s2)/l
式中λ1、λ2分别为两臂的热导率。
(3)温差电池内部,电流I流过所放出的焦耳热中,有一半将转移到热端,因而把功率
还给热源。
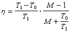
汤姆逊热较小,可以忽略不计。在最大输出功率条件下,即R=r时,温差电池的效率为
式中
称为温差材料的品质因数。如果选
则得最大效率为
因此,温差发电机的效率主要取决于热端和冷端的温度和温差发电材料的品质因数Z,Z值还强烈地依赖于温度,因而对于不同的工作温度需要选取不同的材料。
最早用的温差发电材料为ZnSb合金(P型),用康铜片(N型)连接,其热端温度可达400
。Bi2Te3-Bi2Se3固溶体(N型)和Bi2Te3-Sb2Te3固溶体在0~300
范围内具有较高品质因数(
),是较好的低温温差发电材料。在300
到600
的中等温区,常采用PbTe或PbTe与SnTe或 PbSe的固溶体、GeTe、AgSbTe2等作温差发电材料。600
以上的高温发电材料有Ge-Si合金、MnTe等。人们对稀土元素的硫化物、碳硼化合物以及In-Ga-As系已作了较多的研究。
在温差发电机中,在较大温差下,为了使温差电池臂的所有部分都具有较高品质因数,可采取“分段”的办法,处于不同温度的电偶臂的各段,采用不同材料或不同成分。图2a的两段电偶臂采用不同材料。这种结构当上端温度为550
、温差为530
时,效率可达12%。图2b是成分分段改变的温差电池,当热端温度为1000K,冷端温度为300K时效率可达12%~15%。
半导体温差发电机无转动部分,因而无噪声、寿命长、工作稳定可靠、轻便,且可利用各种能源,包括固、液、气态燃料,太阳能、核能,以及各种设备的废热、余热等,因而特别适用于军事、勘探和边远地区等的小功率发电和星际航行。
80年代美国已研制成 500瓦的军用温差发电机。利用同位素加热的核能温差发电机已应用于航天。
