[拼音]:fuzhu bianliang guji
[外文]:instrumental variable estimate
在模型误差为相关噪声的情况下通过引入辅助变量矩阵对线性最小二乘估计的一种改进。对于单输入单输出线性差分方程模型
它的线性最小二乘估计量为
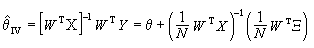
式中θ为参数真值,Ξ=[εn+1,εn+2…,εn+N]T,εk 为误差。在{εk}为相关噪声的情况下线性最小二乘估计 孌LS的后一项始终不为0,即孌LS与真值θ之间始终存在偏差量
。为此引入新的估计量
式中W 称为辅助变量矩阵,它满足两个条件:随着观测数据长度的增加,
依概率趋于一个满秩矩阵;而
依概率趋于0。满足这两个条件的估计量孌IV称为辅助变量估计,它在误差序列{εk}为相关噪声的条件下,能得到趋于真值θ的弱一致性收敛的估计量。关键在于如何具体构造辅助变量矩阵。人们已经提出几种不同的构造方案,证明它们满足上述两个条件是很难的,但是在实际应用中已取得较好的效果。
辅助变量估计算法的计算量比线性最小二乘算法增加不多。在误差为相关噪声的情况下,估计精度较线性最小二乘估计有明显改善。它也有相应的递推估计算法。
