[拼音]:zhuangtai fangcheng
[外文]:equation of state
物质在平衡状态下p-V-T关系的数学方程。当压力足够低时,各种气体的p-V-T关系存在简单的规律。1661年,英国化学和物理学家R.玻意耳根据实验得出结论:在恒温下,一定量气体的体积与压力成反比。这一规律,后称玻意耳定律。1802年,法国化学家J.-L.盖-吕萨克发现:在恒压下一定量气体的体积与绝对温度成正比,后称盖-吕萨克定律。1811年,意大利物理学家A.阿伏伽德罗提出:在恒温恒压下,同体积任何气体的摩尔数相同,后称阿伏伽德罗定律。由这三个定律导出理想气体状态方程:
pVm=RT
式中R为摩尔气体常数,其值为8.3144J/(mol·K);p、T和Vm分别为压力、绝对温度和摩尔体积。此式亦可根据对理想气体的假设(分子间无作用力,分子本身体积可忽略),由气体分子运动理论导出。
低压下的实际气体接近于理想气体。压力升高时,实际气体的p-V-T关系都会偏离理想气体状态方程。随着化肥工业、石油化工等的发展,高压过程的应用日趋增多,促进了实际气体状态方程的研究。这种状态方程迄今已提出了几百个,但仅有十多个得到广泛应用。所有实际气体状态方程在压力趋于零时,都还原为理想气体状态方程。状态方程的研究可用理论方法和半经验方法,各自得到相应的状态方程。
理论方程
从分子微观运动出发,运用统计力学方法导出的状态方程。例如著名的维里方程(维里一词来自拉丁文,其意义是力):
就是根据分子间相互作用力的概念,由统计力学导出。式中B、C、D、……依次称为第二、三、四、……维里系数,分别反映两分子、三分子、四分子、……间的相互作用,都是温度的函数。此式适用于密度不太高的气体。对于更一般的流体,理论方程为:
式中NA为阿伏伽德罗常数;u(r)为分子间相互作用位能函数;r为分子间距;g(r)为径向分子分布函数,用以描述流体分子的分布情况。
近年来理论研究成果显著。例如:对于相互间没有吸引力的硬球分子及其混合物,已经导出比较严格的硬球状态方程。但是对于实际流体,由于对它的u(r)、g(r)两函数的具体形式尚未充分认识,还须借经验导出适用于实际流体的状态方程。
半经验方程
将半经验模型结合理论方程,或分析已有方程偏离实际情况的原因,引入经验修正项以改进原有方程,是目前建立半经验方程所用的主要方法。半经验方程在工程上应用甚广,数目也多,并可进一步分为如下两类:
三次型方程能展开成为摩尔体积的三次式的半经验方程。这类方程比较简单,仅含两个或三个方程参数。常用的有:
(1)范德瓦耳斯方程 J.D.范德瓦耳斯于1873年对理想气体状态方程作了修正后,提出的实际气体状态方程为:
式中α和b为物质的特征参数;α/V娽项是分子间的引力对p的校正项;b则是考虑分子本身的体积的校正项。利用临界点条件
,可以由临界温度Tc和临界压力Hc算出α和b。范德瓦耳斯方程虽然准确度不高,很少用于实际计算,但它的物理意义明确,是其他三次型方程的基础。
(2)RK方程 O.雷德利克和J.N.S.邝于1949年在范德瓦耳斯方程的基础上提出的一个两参数方程:
它是形式最简单的常用状态方程,一般情况下有一定的准确度。式中α和b亦为物质的特征参数,由实验数据回归求取;但在缺乏实验数据时,也可由临界温度Tc和临界压力pc按下式计算而得:
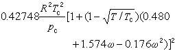
α=0.42748R2T
/pc,b=0.08664RTc/pc
RK 方程有不少修正式,其中比较成功的是G.索阿韦于1972年提出的,简称为SRK方程,其形式与RK方程相同,只是其中α/T1/2代之以
式中ω为偏心因子(见对应态原理)。SRK方程比较简单,准确度有提高,能兼用于非极性系统的汽液两相,用于汽液平衡计算以及焓差计算,效果也较好。1979年,索阿韦又对 SRK方程进行了改进。改进后的方程可用于极性和非极性物质。
(3)PR方程 D.Y.彭和D.B.鲁宾逊于1976年提出如下的状态方程:
式中
。此方程适用范围和SRK方程相当,在预测液体饱和体积时,其精度比SRK方程有所提高。
多参数方程在半经验方程中,为使求解达到一定的准确度和扩大应用范围,而建立的一类比三次型方程参数更多的方程。这类方程,由于参数多,所需要的实验信息和处理数据的工作量都大为增加。应用较广的多参数方程有:
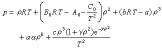
(1)BWR方程 M.本尼迪克特、G.B.韦布和L.C.鲁宾于1940年提出如下的状态方程:
式中ρ=1/Vm,A0、B0、C0、α、b、c、α和γ均为特征参数,由实验数据回归而得。此方程对烃类化合物较为适用。它是第一个能同时应用于汽液两相的状态方程。1970年,K.E.斯塔林对BWR方程作了改进,提出了包括11个参数的BWRS方程,应用范围比BWR方程更广。
(2)马丁-侯方程 J.J.马丁和侯虞钧于1955年发表的状态方程通式如下:
参数中B4=C4=A5=C5=0,其余9个参数可由临界性质(Tc,pc,Vc)和一个温度下的蒸发压数据(T0,p0)通过推导而得的公式求得。此方程原为仅适用于气相的状态方程,对烃类等非极性物质和水、氨等极性物质的气相都能适用。1981年经侯虞钧等改进后,可兼用于汽(气)液两相和混合物的汽液平衡计算。
混合物状态方程
混合物的p-V-T 关系同组成有关。通常将混合物假设为一种纯物质,采用一套虚拟特征参数,就可用与一般纯物质相同的状态方程。虚拟特征参数是混合物中相应纯组分的特征参数和混合物组成的函数。具体的函数关系则称混合规则。例如RK方程用于计算二元混合物的p-V-T关系时,采用的混合规则为:
式中x表示组分的摩尔分率,下标1和2分别表示第一和第二组分。
采用理论方程时,原则上不需要混合规则。如一般流体的理论状态方程推广到m元混合物,得
式中uij和gij分别为i、j分子对的相互作用位能函数和径向分布函数。
研究方向
状态方程在理论研究和实际应用中都很重要,但迄今为止还没有一个状态方程能满意地应用于所有工程分析,因此有关状态方程的研究仍很活跃。许多学者正致力于建立普遍适用的、有严格理论基础的状态方程,目前已取得某些进展,例如对伦纳德-琼斯流体(分子间力遵守伦纳德-琼斯位能函数模型)已建立比较精确的状态方程。但如考虑到分子的不同形状,还有大量问题等待解决。因此,关于状态方程研究的重点仍是半经验方程。一方面,努力寻找形式简单、参数较少但又能适用于气(汽)液两相以至于临界区域的新方程,同时扩大现有方程的应用范围。此外,为更精确地计算混合物的p-V-T关系,正在研究适应范围广、精确度高的混合规则。
