[拼音]:fajiao donglixue
[外文]:fermentation kinetics
生化反应工程的基础内容之一,以研究发酵过程的反应速率和环境因素对速率的影响为主要内容。通过发酵动力学的研究,可进一步了解微生物的生理特征,菌体生长和产物形成的合适条件,以及各种发酵参数之间的关系,为发酵过程的工艺控制、发酵罐的设计放大和用计算机对发酵过程的控制创造条件。
在发酵中同时存在着菌体生长和产物形成两个过程,它们都需要消耗培养基中的基质,因此有各自的动力学表达式,但它们之间是有相互联系的,都是以菌体生长动力学为基础的。所谓菌体生长动力学是以研究菌体浓度、限制性基质(培养基中含量最少的基质,其他组分都是过量的)浓度、抑制剂浓度、温度和pH等对菌体生长速率的影响为内容的。在分批发酵中,菌体浓度X,产物浓度P和限制性基质浓度S均随时间t变化(图1)。
菌体生长可分迟滞、对数、减速、静止、衰退等五个时期。其中菌体的主要生长期是对数期,它的特点是:
式中μ为比生长率,即单位菌体单位时间内的菌体生长量,当基质浓度S下降至一定值后,μ值即随之下降(图2),即进入减速期;随着基质浓度继续下降,菌体的衰老死亡逐步与生长平衡以至超过生长,也即进入静止和衰退期。
J.莫诺于1949年提出了一个μ与S间的经验关联式,此式被称莫诺方程式:
式中μm为最大比生长速率, 即不因基质浓度变化而改变的最大μ值;Ks为饱和常数,即在数量上相当于μ=0.5μm时的S值。Ks值愈小,说明在低基质浓度范围中,S对μ愈为敏感,而保持μm的临界S值愈低。在一般情况下,当S>10Ks时,μ=μm 当
时,μ=(μm/Ks)S。产物的形成常与菌体的生长或浓度有关,典型的关联式为:
式中α、β为常数;qP为比产物形成速率。在限制性基质的消耗和菌体生长间常用下式表示:
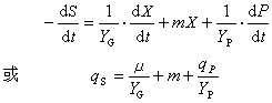
式中YG为菌体得率常数;1/YG则为单纯用于合成单位菌体所耗用的基质量;m为维持系数,即单位菌体、单位时间内耗用于菌体维持生命活动的基质量;qS为比限制性基质消耗速率。
若在菌体生长时还伴有产物形成,则
式中YP为产物得率系数;1/YP则为单纯用于合成单位产物所耗用的基质量。
