[拼音]:duicheng fenliangfa
[外文]:symmetrical components method
电工中分析对称系统不对称运行状态的一种基本方法。电力系统中的发电机、变压器、电抗器、电动机等都是三相对称元件,经过充分换位的输电线基本上也是三相对称的。对于这种三相对称系统的分析计算可以方便地用单相电路的方法求解。
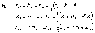
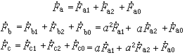
电力系统的故障很多是三相不对称的。不对称故障下的电力系统将出现不对称的运行状态,三相的电压、电流等电量将是不对称的。但是只要三相系统各组成元件是对称的,那么在此系统中发生各种不对称故障时,仍可应用单相电路方法求解。办法是将三相不对称的电气量妑a、妑b和妑c分别用3组对称分量妑a1、妑a2、妑a0、妑b1、妑b2、妑b0和妑c1、妑c2、妑c0来表示,而妑1(妑a1妑b1妑c1)、妑2(妑a2妑b2妑c2)和 妑0( 妑a0妑b0妑c0)分别称为正序、负序和零序分量,它们之间的互换关系为
式中
不难看出,本来不对称的三相电气量妑a、妑b、妑s已被3个对称分量妑a1、妑a2、妑a0替代,而作为正序分量的妑a1、妑b1、妑c1和负序分量的妑a2、妑b2、妑c2均为三相对称系统,零序分量妑a0、妑b0、妑c0则为三相相同的量。
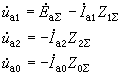
当三相系统仅在故障点是不对称的,其余部分均三相对称,则故障点的对称分量各序电流与各序电压之间存在下述简单关系:
式中夦a1、夦a2、夦a0、夒a1、夒a2、夒a0分别为不对称故障点的各序电压、电流分量;夌a∑为系统α 相电源等效电动势;Z1∑、Z2∑、Z0∑分别为从故障点观察到的系统各序总阻抗。
电力系统分别用上述三序阻抗及电源电动势组成该系统的正序、负序、零序网络,简称序网(见图)。
图中因发电机只有正序电动势,故负序零序序网中没有电动势;N1、N2、N0为3个序网的始点;K1、K2、K0为3个序网的终点,即系统的故障点。
不同的短路或断线故障,在故障点有不同的边界条件。根据故障的边界条件,可以将3个序网联接成一个分析故障电量的等效电路。这个等效电路称为复合序网。
