[拼音]:diangan
[外文]:inductance
表示一个或多个导体线圈中的电流与线圈所链合的磁链关系的电磁参量。这些参量的数值决定于线圈形状、尺寸与其周围磁介质的特性。电感分为自感与互感。
自感它的一种常用的定义是:一线圈中的电流i所建立的与该线圈相链的磁链ψ与电流i的比值(图1),
符号为L即
而
ψ=Nφ
式中N 是线圈匝数,φ
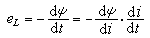
是与线圈回路相链的磁通。这里磁通与电流的参考方向符合右手螺旋关系。根据电磁感应定律,线圈回路中的自感电动势eL为
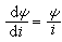
在线圈周围磁介质为线性的情形下,一线圈的自感为一常数值。
自感的另一定义是线圈自身感应电动势eL与负的电流时间变化率的比值
在线性磁介质的情形下,
,上述两个形式的定义相互等效。恒定值的电感的磁场中贮存有能量
。因此,还可定义一线圈的自感为它的磁场能量的2倍与其中电流的平方之比,即
互感
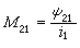
线圈1中的电流i1在邻近的线圈2建立的磁链ψ21与电流i1的比值称为线圈1对线圈2的互感(图2)
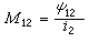
这里ψ21=N2φ21。类似地,可定义线圈2对1的互感为
在磁介质为线性的情形下,两个线圈间的互感为恒定值,且有M12=M21。电感的单位在SI单位制中为亨〔利〕(H)。
电感计算公式两细导线回路在均匀、线性与各向同性的磁介质中,它们的互感可用以下诺伊曼公式计算
式中dl1、dl2分别为两个回路的长度元矢量,r12是两长度元间的距离,μ是周围磁介质的磁导率。
一个细导线回路的自感,可近似地看作是导线几何中心轴线l1与导线内侧闭合曲线间的互感与导线的内自感之和,这样便有
电工中几个电感计算公式:
(1)空气中单匝圆环的自感
式中μ0为导线(为铜或铝)的磁导率,R 为圆环半径,ɑ为导线横截面半径,ɑ<<R。
(2)两线输电线的自感
式中ɑ为圆导线横截面半径,D 为两导线几何中心距离,l为输电线长。l>>D, D>>ɑ。
(3)空气中两平行同轴圆环间的互感
这里R1和R2是两圆环的半径,而
其中
分别为第一类和第二类全椭圆积分,它们的数值可根据k从数学手册中查出或求得。
h为两圆环间距离。
(4)两对相互平行的输电线间的互感
式中l为输电线长度,l>>DAD、DBC、DAC、DBD 。
