[拼音]:chuanre danyuanshu
[外文]:number of heat transfer unit
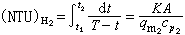
反映冷热流体间换热过程难易程度的参数,也是衡量换热器传热能力的参数。热流体和冷流体的传热单元数(NTU)
和(NTU)
各按下式定义计算:
式中T1和T2分别为热流体的进出口温度;t1和t2分别为冷流体的进出口温度;T 和t分别为微元传热面两侧的热流体与冷流体温度;K为平均传热系数;A为传热面积;qm1和qm2分别为热流体和冷流体的质量流量;cp1和cp2分别为热流体与冷流体的等压比热容。由定义式可知:在设计换热器时,换热要求越高,则所需传热面积越大,传热单元数也越大。对操作中的换热器,传热单元数越大,表明其性能越好。
采用传热单元数法计算换热过程,还须引入传热效率的概念。换热器内传热效率是指两流体的实际传热量与理论上可能的最大传热量(即两流体逆流操作且传热面积为无限大时的传热量,此时t2=T1或T2=t1)的比值。热流体和冷流体的传热效率分别为:
对一定型式的换热器,传热单元数、传热效率和两相热容量流率qmcp间存在一定关系。对于逆流操作的换热器为:
式中
各种可能情况下的传热效率与传热单元数的关系已绘制成图,计算时可直接利用。若某流体在换热中汽化或冷凝, 则它的qmcp值为无限大。利用(NTU)H与η的关系式和热量衡算式,可较方便地进行传热计算,特别是对已有换热器传热性能进行核算,可避免试差或减少试差次数。
