[拼音]:bihuan kongzhi dianlu
[外文]:closed-loop controlled circuit
与控制对象存在反馈联系的控制电路。开环控制电路结构简单,成本低,但控制精度较低。为在系统中保持转速的恒定,可以加入一些测量比较元件组成闭环系统(图1)。
闭环控制
测速发电机SF(图中TG)就是测量元件。将测速发电机的电压取出一部分Uf与给定电压Ug反向串联,并将差值ΔU作为放大器的输入信号,即ΔU=Ug-Uf。自动调速过程如下:设电动机(M)原来稳定工作于额定转速,若负载突然增大,主回路电压降增大,电动机转速下降,反馈电压Uf也随之下降。由于给定电压Ug没有变,所以加到放大器输入端的电压ΔU 便自动升高,它使晶闸管整流电路输出电压Ud增加,补偿了所增大的电压降,于是电动机转速又回升到接近原来的数值。反馈作用有两种情况,若反馈信号和原输入信号极性相同叫正反馈;反之,叫负反馈。正反馈使系统放大倍数增大,负反馈使系统放大倍数减小。在自动控制系统中主要应用的是负反馈。在单闭环调速系统中,忽略一些次要因数后,各环节的静态(稳态)规律如下:电压比较环节ΔU=Ug-Uf;放大器Uk=KpΔU;触发器及晶闸管整流装置Ud=KsUk;晶闸管-电动机系统开环机械特性n=(Ud-IdR∑)/Ce;测速发电机Uf=αn。以上各式中,Kp是放大器的电压放大倍数;Ks是晶闸管装置的电压放大倍数;α 是测速发电机的反馈系数。上述关系式中消去中间变量,可得转速负反馈单闭环调速系统的静特性方程式
式中K=KpKsα/Ce,叫做闭环系统的开环放大倍数,它好象是在测速发电机输出端把反馈回路断开,从放大器输入一直到测速发电机输出的总的电压放大倍数,是各个环节单独放大倍数的乘积。这里是以1/Ce=n/ED作为电动机环节的“放大倍数”的。
闭环调速系统的静特性
根据调速系统各环节的静态关系式可以画出系统的静态结构图(图2)。图中各方块中的符号是该环节的放大倍数,或称传递函数。比较一下闭环系统静特性和开环系统机械特性,就能清楚地看出闭环控制的优越性。如果断开反馈回路,则上述系统的开环机械特性是
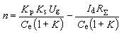
而闭环时的静特性可写成
式中nok和nob 分别表示开环和闭环系统的理想空载转速,Δnk和Δnb分别表示开环和闭环系统的静态速降。闭环调速系统的静特性有下列性质:
(1)在同样的负载扰动下,闭环系统的静态速降减为开环系统速降的1/(1+K),K是闭环系统的开环放大倍数。
(2)如果要维持理想空载转速不变,闭环时的给定电压须比开环时相应地提高(1+K)倍;给定电压不能过分提高时,须增设电压放大器。
(3)在同样的最高转速和低速静差率的条件下,闭环系统的调速范围可以扩大到开环调速范围的(1+ K)倍。如果将开环系统和闭环系统的理想空载转速调到相等,比较上式可得Δnb=Δnk/(1+K)。这表明系统由转速反馈构成闭环后,在同样大小负载条件下,静态转速降比开环时减小了(1+K)倍,从而大大提高了机械特性硬度。图3
分别表示开环和闭环系统的机械特性。可见,只要系统的开环放大倍数K足够大,总可以把闭环系统的静态转速降Δпb减小到允许的范围,并把调速范围提高到预定的要求。
