[拼音]:youyuan nibian dianlu
[外文]:active inverting circuit
将直流电能转换为50Hz(或60Hz)的交流电能并馈入公共电网的逆变电路。它有两个特点:
(1)直流电源为电流源,逆变入端串联大电感Ld,其入端电流id平滑连续(见电流型逆变电路);
(2)其负载是三相交流电网,故可采用负载换流方式(见负载换流式逆变电路)。因此该电路又称负载换流式电流型逆变电路。
工作原理逆变电路采用三相桥式结构(见图)。
由于采用负载换流方式,故桥中开关元件可采用普通晶闸管。其出端A、B、C经限流电感Lа、Lb和Lc与公共电网联结。此处三相电网作为逆变电路负载接受其馈入电能,桥中各晶闸管T1~T6均工作于开关状态,采用相控方式(见电力电子电路)。各晶闸管的导通时刻由加到各门极脉冲的相位决定。逆变桥可视为按一定时序依次轮番通断的 6只开关。但在任何稳定导通状态中,桥中只有两支元件处于导通状态(其余为阻断状态)。例如在某一时刻有T1和T2导通,则有id=iA=-iC,即直流电流 id此时作为电网相电流iA和ic流向公共电网;而在另一时刻有T4和T5导通,则id=ic=-iA,由前述id为平滑连续直流电流。由于桥中各开关的轮番通断,iA和ic均为交变方波。同理可知iB也为交变方波。由此可见,若门极脉冲的基本重复频率保持与公共电网同步,则各相电流的重复频率也必然与电网同步,这样电网就得到由直流端提供的、由逆变电路转换的交流功率。
电路输出功率控制有源逆变电路不仅具有电能的转换功能,而且还可以通过外加信号电压对输出功率进行控制。由图可见,当桥中各开关依次通断时,逆变入端电压uβ实际上是一个由各线电压分段组成的波形。例如当T1和T2导通时,uβ=uAC;而当T4和T5导通时,uβ=uCA(在稳定导通状态下,各相电流为平滑连续,电感Lа、Lb和Lc端压均为零)等。
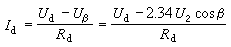
对电路分析可知,逆变入端电压uβ的平均值Uβ可表示为
Uβ=2.34U2cosβ
式中U2为公共电网相电压方均根值,β为门极脉冲的超前控制角。由图可知,直流电流id的平均值Id可表示为
式中Rd为电路直流电阻,Ud为直流电源电压平均值。此式表明,在Ud、U2和Rd为定值条件下,利用控制信号连续改变β值,即可相应改变逆变入端电流平均值Id,从而改变逆变输出交流功率。
