[拼音]:lisan shijian zhouqi xulie de lisan Fuliye jishu biaoshi
[外文]:discrete Fourier series representation of discrete-time periodic sequences
离散时间周期序列的离散傅里叶级数表示定义为
(1)
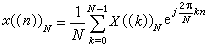
式中χ((n))N为一离散时间周期序列,其周期为N点,即
式中r为任意整数。X((k))N为频域周期序列,其周期亦为N点,即X(k)=X(k+lN),式中l为任意整数。
从式(1)可导出已知X((k))N求χ((n))N的关系
(2)
式(1)和式(2)称为离散傅里叶级数对。
当离散时间周期序列整体向左移位m时,移位后的序列为χ((n+m))N,如果χ((n))N的离散傅里叶级数(DFS)表示为
,则χ((n+m))N的DFS表示为
