[拼音]:dingliang jinxiang jishu
[外文]:quantitative metallography technique
在金相观测中对金相组织进行几何学定量测定的技术(见金相学),也称立体金相。为了研究金属材料的金相组织和性能的定量关系,常需将检验面上二维空间的组织参数,依立体几何和体视学原理换算成三维空间参数进行分析。1938年美国材料试验协会制定ASTM-E八级晶粒度标准,定量金相技术就开始应用于金属材料的检验和研究。60年代,由于可自动测量的定量金相显微镜的制成和体视学的应用,金相定量测定的技术得到进一步发展和推广。在金属和合金组织的各种形态参数的测量中,应用定量金相技术来测定第二相体积分数、第二相尺寸、质点间距、对有方向性组织的取向程度、比相界面、近邻率、连续性等。有比较法和测量法两类。
比较法
将所测相和标准图片比较定出一个定量级别,用此法只能得到关于材料组织或缺陷的一个笼统的概念,准确性差,但快速简便。
测量法
能得到所测相的准确定量的数据,分为非自动测量法和自动测量法两种。非自动测量法利用一般光学显微镜和一些简单测量工具,测量可在金相组织照片或在金相显微镜投影屏上进行,也可直接通过带有测微标尺的目镜在试样上测定。自动测量法使用定量仪器,测量既可直接在试样检验面上进行,也可在组织的电子图象或金相组织照片上进行,测量速度快,误差小。
非自动测量法常用的有测量面积法、线分法和点标法三种:
(1)测量面积法。可用求积仪测量模板直接测量被测相在检验面上的面积,也可以把被测相从金相照片上剪下来,秤重以计算其重量而换算成面积。
(2)线分法。利用测微标尺测量被测相在单位测试线上所占的比率LL、单位测试线上的点数PL和单位测试线上的相个数NL。 线分法测量实例见图1。测得α相在单位测试线上所占的比率LL=0.38,单位测试线上的点数PL=8,则单位测试线上的相个数NL=4。线分法测量除用有刻度的标尺外,还用已知周长的圆模板(图2a)和标有方位角的圆模板(图2b)来测量有方向性的组织。
(3)点标法。用于测量第二相的百分数等;一种是数出检验面上被测相的点数,例如位错露头的蚀坑、三个晶粒间的结点数等;另一种是用一个带点的阵列,置于检验面上,数出落在被测相上的点数,除以阵列的总点数。阵列有正方形和正六方形等,按金相组织疏密程度选用(图3)。
测量面积法、线分法和点标法可单独应用,也可联合使用。图4为正方形网格,全部网格测试线的总长度(单位测试线长度)为1mm,网格中有36个阵点(网格和被测相边界相截出12个点,即单位测试线上的点数PL=12),有6个网格的阵点落在被测相上,则其点数比PP=6/36。
自动测量法
主要是利用线分法,其测量原理是将组织的光信号转变成电信号,再把电信号数字化成所需要的定量参数。从图5可见,电信号振幅大小反映相的灰度,而振幅宽窄则是相大小的量度。
定量金相显微镜线性扫描程序是由扫描点组成的扫描线,以回纹形轨迹对金相组织进行扫描(图6),从不同相的光电流得到不同的电脉冲并由各相的计数系统进行累计。扫描结束后,如果扫过第二相的扫描点数为n,扫描点间距为K,被扫的第二相个数为N,扫过第二相的扫描线总长度为L=n·K,则第二相的平均截长为:
三维空间参数的换算
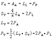
为了将二维平面参数转换为三维空间参数,根据体视学原理,把从二维平面中观察到的相的不同形状和特点,借助简单的几何模型(图7)及四个基本方程,将二维平面参数转换成三维空间参数,进而用数字表示出金属组织的几何形貌和分布特征。四个基本方程是:
式中 VV为单位测试体积中被测相所占体积比;AΑ为单位测试面积中被测相所占面积比;LL为单位测试线上被测相线长所占的比;PP为落在被测相上的点数与总测试点数之比;SV为单位测试体积中被测相表面的曲面积;LΑ为单位测试面积上被测相的长度;PL为单位测试线上的点数; LV为单位测试体积中被测相的长度;PΑ为单位测试面积中的点数;PV为单位测试体积中的点数。上述四个方程中的一些量能直接测量,另一些量不能直接测量,但可从方程间接得出。各量之间的关系见图8(画圈的可直接测量,画方框的必须通过计算才能得到)。
定量金相显微镜
各国制造的定量金相显微镜,按其扫描类型分机械扫描和视频扫描两类。机械扫描是试样相对物镜移动,光电探测器接受的光束是由试样表面一小块面积反射发出,速度慢,误差小;视频扫描(即图象分析)的光电探测器接受的光束,不直接由试样表面反射发出,而由光电管上的电子图象发出。这种扫描速度快,误差较大。
自动测量时要获得准确定量数据,必须①试样表面平正无划痕、浮凸和污染;
(2)试样浸蚀合宜,灰度差明显;
(3)测量仪器精度高。
