[拼音]:liudongbo
[外文]:travelling waves
沿输电线路传播的电磁波。又称行波。输电线路出现的电磁激励若其对应的波长与线路长度可以相比,此激励将显示为电磁波的性质而沿着线路传播,即为流动波。例如,线路遭受雷击时雷电冲击波就形成流动波。流动波的传播过程由输电线路的分布参数特性所决定。在电缆、变压器或发电机绕组中也会出现流动波过程。
具有分布参数的输电线路上的电压和电流既随时间变化又随位置变化,即同时是时间t和位置χ的函数
u=u(χ,t)
i=i(χ,t)
它需通过下列偏微分方程求解
R0、L0、G0、C0分别是输电线路单位长度的电阻、电感、电导、电容。在假定线路没有损耗的条件下(R0=G0=0),其解为
称为波速;
称为波阻抗或特性阻抗。可见电压和电流都是由两个分量叠加而成。第一个分量u+、i+以(χ-vt)为变量;第二个分量u-、i-以(χ+vt)为变量,这表明它们具流动波性质。u+以速度v在沿着χ方向传播,如图la所示。
计算表明,波速v恰好等于光速,就是电磁波在输电线路周围介质中的传播速度。同样,u-也具流动波性质,只是传播方向相反,如图1b所示。u+、u-分别称为电压前行(流动)波和反行(流动)波。输电线路上任一时间和地点实际出现的电压就是这两个流动波成分的叠加,具体数值需由激励方式和线路结构等条件来决定。对于电流也有类似的情形,i+、i-分别称为电流前行(流动)波和反行(流动)波。
电压、电流前行波之间的比值和电压、电流反行波之间的比值相等,均等于波阻抗Z,
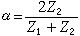
当流动波遇到波阻抗不相同的输电线路的节点时,会在节点上发生折射和反射,这是由于电磁波的传播条件突然发生变化的缘故。折射的成分进入节点后的线路继续按前行方向传播;反射的成分将向相反方向传播,成为反行波。折射波和反射波的数值由折射系数和反射系数表示。对于电压流动波,折射波u2=αu0,反射波u1=βu0。u0是初始入射波;α 是折射系数,
β是反射系数,
,Z1是该节点之前初始入射波所在的线路波阻抗,Z2是该节点之后只有折射波进入的线路波阻抗。对于一条末端开路的输电线,其末端可视为连接一波阻抗Z2=∞的输电线,此时折射系数α=2,反射系数β=1。若线路始端接有电源,受始端条件的制约,反射波到达始端后又会产生新的折射和反射,进而形成多次折反射。
图2a表示出t=0时线路始端接通一个幅值为1的直流电源(即单位阶跃激励),它作为初始入射波沿线路到达末端,又经过多次折反射在末端形成的电压波形。可见末端将出现2倍于电源幅值的电压,其周期
,l是线路长度,v是流动波速度。实际情况是输电线路总存在损耗,图2b的波形不可能永久持续下去,而是逐渐变形、衰减,最后稳定为电源电压值。这一过程就是空载线路始端合上直流电源时所发生的电磁暂态过程。
流动波是电力系统中遭受雷电袭击、开关操作或发生短路故障时所必然出现的现象。研究各种流动波过程对于电力系统中的过电压预测、开关熄弧能力等问题的分析都是十分必要的。
